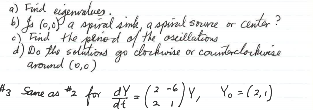
Question: Hello I need help with this question for dy/dt find a), b), c), and d) a) Find eigenvalues 6) is 10, of a spiral sink,
Hello
I need help with this question
for dy/dt find a), b), c), and d)

Step by Step Solution
There are 3 Steps involved in it
1 Expert Approved Answer
Step: 1 Unlock
Question Has Been Solved by an Expert!
Get step-by-step solutions from verified subject matter experts
Step: 2 Unlock
Step: 3 Unlock
