Question: Hello Tutor, please help me with these ten math problem. I would really appreciate your quick help. I would leave a thumbs up and a
Hello Tutor, please help me with these ten math problem. I would really appreciate your quick help. I would leave a thumbs up and a good feedbacks. Thank you so much??
PLEASE WRITE NEATLY AND CLEARLY so I can understand properly.










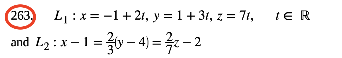
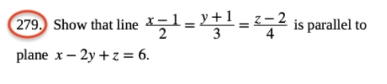
For the following exercises, lines L1 and L2 are given. Determine whether the lines are equal, parallel but not equal, skew, or intersecting. L1:x=y1=z and Lzzx2=y=% \f265. Consider line L of symmetric equations x-2=-y and point A(1, 1, 1). a. Find parametric equations for a line parallel to L that passes through point A. b. Find symmetric equations of a line skew to L and that passes through point A. c. Find symmetric equations of a line that intersects L and passes through point A.For the following exercises, point P and vector n are given. a. Find the scalar equation of the plane that passes through P andhasnnnnal vector 11. b. Find the general term of the equation of the plane that passes through P and has normal vector 11. mono), n=31-2j+4k \fFor the following exercises, the equation of a plane is given. a. Find normal vector n to the plane. Express n using standard unit vectors. b. Find the intersections of the plane with the axes of coordinates. C. Sketch the plane. 271. [T] 4x + 5y + 10z - 20 = 0\f275. Given point P(1, 2, 3) and vector n = i + j, find point Q on the x-axis such that PQ and n are orthogonal.277. Find parametric equations of the line passing through point P(-2, 1, 3) that is perpendicular to the plane of equation 2x - 3y + z = 7.\f
Step by Step Solution
There are 3 Steps involved in it
Get step-by-step solutions from verified subject matter experts
