Question: help me answer Part 2 Direction: Rank the following items according to the level of satisfaction that you can get using ordinal utility. 1. Free
help me answer


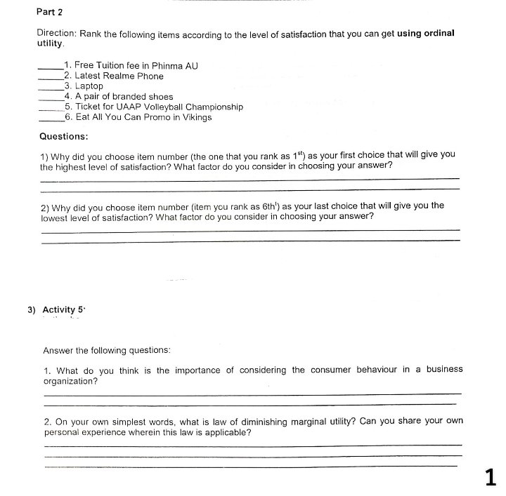
Part 2 Direction: Rank the following items according to the level of satisfaction that you can get using ordinal utility. 1. Free Tuition fee in Phinma AU 2. Latest Realme Phone 3. Laptop 4. A pair of branded shoes 5. Ticket for UAAP Volleyball Championship 6. Eat All You Can Promo in Vikings Questions: 1) Why did you choose item number (the one that you rank as 1") as your first choice that will give you the highest level of satisfaction? What factor do you consider in choosing your answer? 2) Why did you choose item number (item you rank as 6th ) as your last choice that will give you the lowest level of satisfaction? What factor do you consider in choosing your answer? 3) Activity 5. Answer the following questions: 1. What do you think is the importance of considering the consumer behaviour in a business organization? 2. On your own simplest words, what is law of diminishing marginal utility? Can you share your own personal experience wherein this law is applicable? 13. What is the difference between cardinal and ordinal utility? 4. What is the difference between total utility and marginal utility\"? E. Think about your Learning 3 Things You've Learned a. b._________,_____.____ B. 2 Questions about the Topic a.____________* b.___._-- 1 Strategy:I to Easily Understand the Topic 2 a
Step by Step Solution
There are 3 Steps involved in it
Get step-by-step solutions from verified subject matter experts
