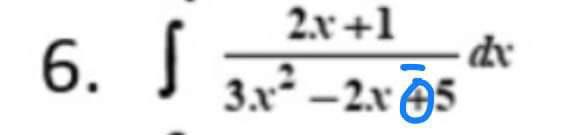
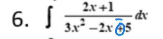
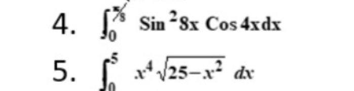
Question: hi tutor with detailed handwritten solution box final answer 2.x+1 dx 3. 2 x 254. Sin -8x Cos 4xdx U 125-x- dx


hi tutor with detailed handwritten solution box final answer


2.x+1 dx 3. 2 x 254. Sin -8x Cos 4xdx U 125-x- dx
Step by Step Solution
There are 3 Steps involved in it
Get step-by-step solutions from verified subject matter experts
