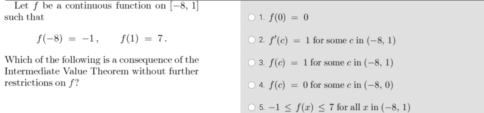
Question: Homework Help: 1, Let f be a continuous function on [-8, 1] such that O 1. f(0) = 0 f (-8) = -1, f (1)
Homework Help:
1,
![Homework Help:1, Let f be a continuous function on [-8, 1] such](https://dsd5zvtm8ll6.cloudfront.net/si.experts.images/questions/2024/11/672f16a3c8d37_235672f16a3add37.jpg)

Let f be a continuous function on [-8, 1] such that O 1. f(0) = 0 f (-8) = -1, f (1) = 7. O 2. f'(c) = 1 for some c in (-8, 1) Which of the following is a consequence of the O 3. f(c) = 1 for some c in (-8, 1) Intermediate Value Theorem without further restrictions on f? 4. f(c) = 0 for some c in (-8, 0) 0 5. -1
Step by Step Solution
There are 3 Steps involved in it
Get step-by-step solutions from verified subject matter experts
