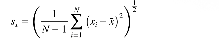
Question: How do I get the true mean or confidence interval for sample C+D numbers? I am missing one sample number which is 22.4mm and that
How do I get the true mean or confidence interval for sample C+D numbers? I am missing one sample number which is 22.4mm and that would make 20 sample numbers. First photo is the sample mean formula, second photo is the standard deviation formula, and the third photo is the true mean formula. At 95% t= 2.093 from t-table. What is the true mean of sample and answer for C+D? I got 22.663mm for the sample mean.




Step by Step Solution
There are 3 Steps involved in it
Get step-by-step solutions from verified subject matter experts
