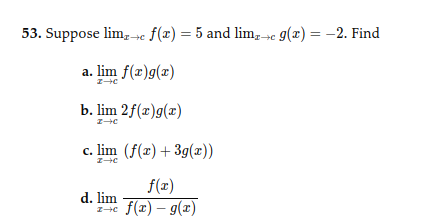
Question: how to solve 53. Suppose lim, + f(x) = 5 and lime- g(@) = -2. Find a. lim f(x)g(x) I-IC b. lim 2f(x)g(x) c. lim
how to solve

Step by Step Solution
There are 3 Steps involved in it
1 Expert Approved Answer
Step: 1 Unlock
Question Has Been Solved by an Expert!
Get step-by-step solutions from verified subject matter experts
Step: 2 Unlock
Step: 3 Unlock
