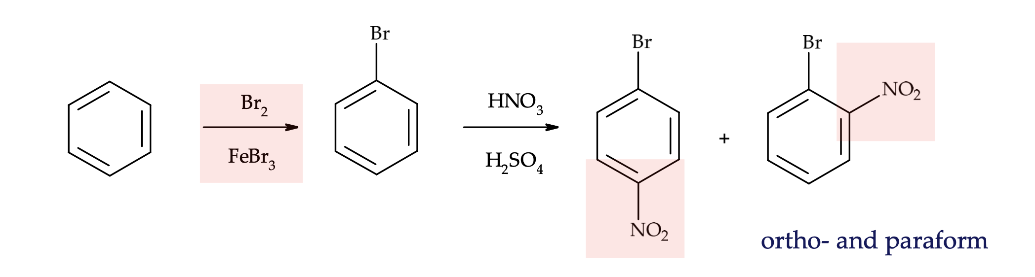
Question: I know that NO2 is electron withdrawing group so the second substituent attached on meta position. So I can't understand why they are attached on
I know that NO2 is electron withdrawing group so the second substituent attached on meta position.
So I can't understand why they are attached on para, ortho position.
Br Br Br NO2 Br, HNO3 FeBrz H2SO4 NO2 ortho- and paraform
Step by Step Solution
There are 3 Steps involved in it
Get step-by-step solutions from verified subject matter experts
