Question: I need help figuring this out. If you could please post your work as to how you get the solution, thank you. (I also uploaded
I need help figuring this out. If you could please post your work as to how you get the solution, thank you. (I also uploaded pictures of the table values that could be helpful).




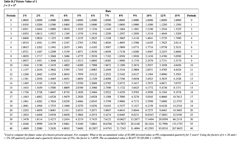
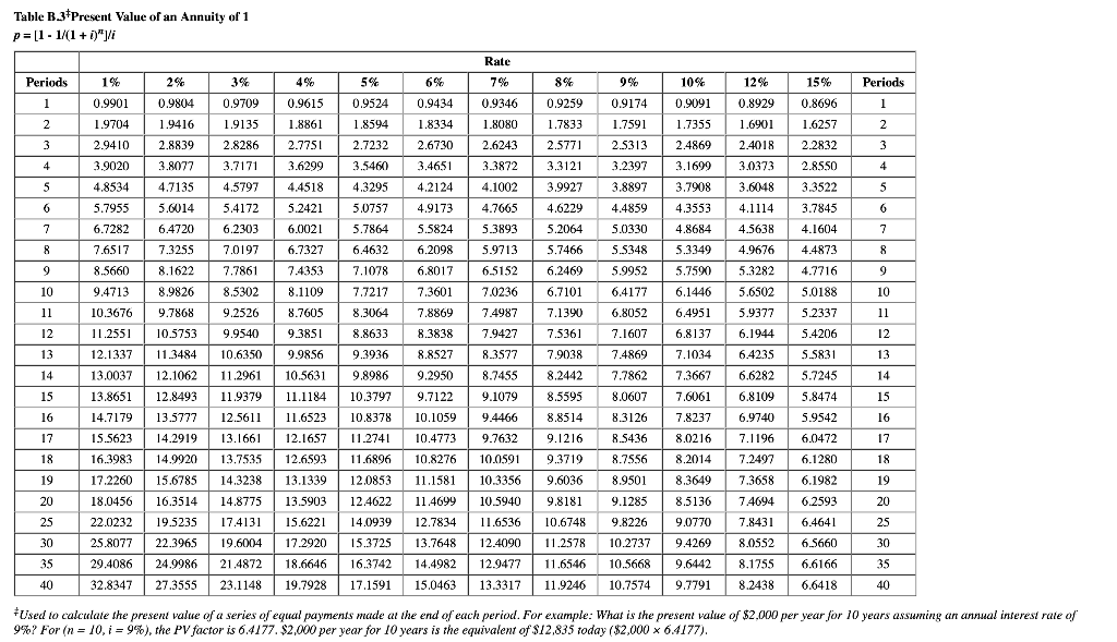
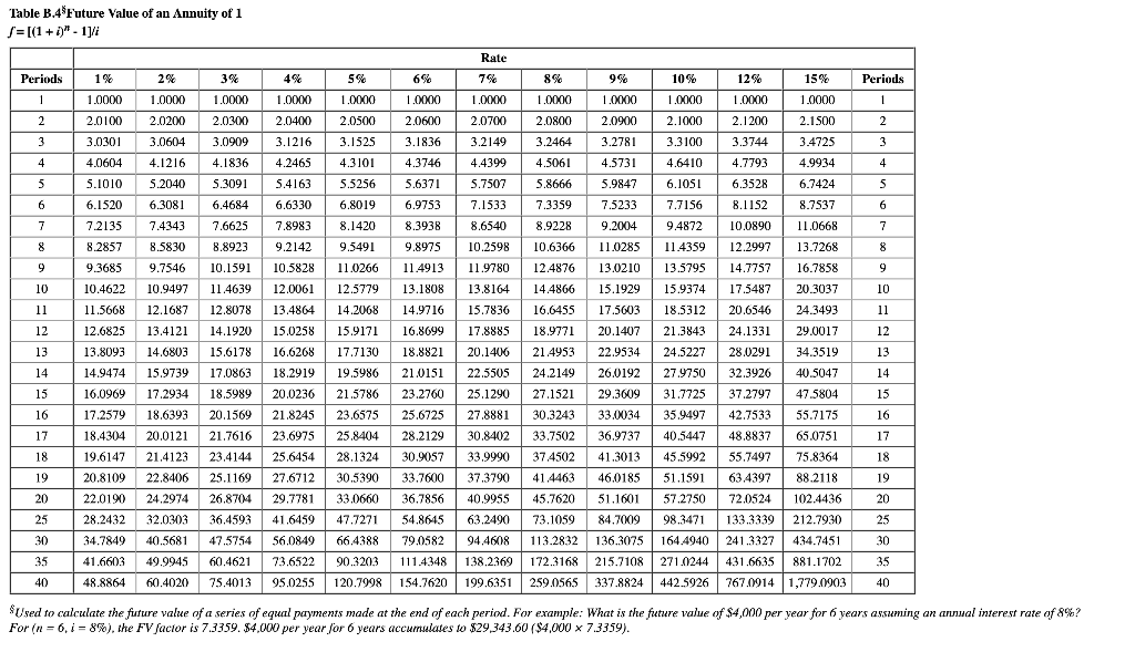
Check my work Exercise B-12 (Algo) Present value of bonds LO P1, P3 Spiller Corporation plans to issue 8%, 6-year, $580,000 par value bonds payable that pay interest semiannually on June 30 and December 31. The bonds are dated January 1 of the current year and are issued on that date. (PV of $1, FV of $1, PVA of $1, and FVA of $1) (Use appropriate factor(s) from the tables provided. Round your "Table value" to 4 decimal places and final answers to nearest whole dollar.) If the market rate of interest for the bonds is 6% on the date of issue, what will be the total cash proceeds from the bond issue? Table Values are Based on: n = Cash Flow Table Value Amount Present Value Present (maturity) value Interest (annuity) Total cash proceeds Table B.1* Present Value of 1 p=1/(1+1)" Rate 3% 4% 5% 8% 9% 10% Periods 1 1% 0.9901 2% 0.98014 6% 0.9434 0.9615 Periods 1 1 7% 0.9346 0.8734 0.9524 0.9259 0.9174 0.9091 12% 0.8929 0.7972 0.7118 15% 0.8696 0.7561 0.6875 2 0.9612 0.9246 0.9070 0.8573 0.8417 0.8264 2 0.9803 0.9706 0.8900 0.8396 3 0.9423 0.8890 0.8638 0.8163 0.7938 0.7722 3 0.7513 0.6830 4 0.9610 0.9709 0.9426 0.9151 0.8885 0.8626 0.8375 0.8131 0.9238 0.8548 0.7350 0.6355 0.5718 4 5 5 0.9057 0.6806 0.6209 0.4972 5 0.9515 0.9420 0.9327 0.8219 0.7903 0.7084 0.6499 0.5963 0.7921 0.7473 0.7050 0.6651 0.8227 0.7835 0.7462 0.7107 0.6768 6 0.7629 0.7130 0.6663 0.6227 0.5820 0.5674 0.5066 0.8880 0.6302 0.4323 6 0.5645 0.5132 7 0.4523 7 0.8706 0.8535 0.7599 0.7307 0.5835 0.5403 0.5470 0.5019 0.3759 0.3269 8 0.9235 0.7894 0.6274 0.4039 0.4665 0.4241 9 0.8368 0.7664 0.7026 0.6446 0.5439 0.4604 0.3606 0.2843 9 0.9143 0.9053 0.8963 0.5919 0.5584 10 0.8203 0.7441 0.3855 0.6756 0.6496 0.3220 0.5002 0.4632 0.4289 0.6139 0.5847 0.4224 0.3875 0.2472 0.2149 0.5083 0.4751 0.4440 10 11 11 0.8043 0.7224 0.5268 0.3505 0.2875 12 0.7014 0.3971 0.3186 0.2567 0.1869 12 0.8874 0.8787 0.7885 0.7730 0.6246 0.6006 0.5568 0.5303 0.4970 0.4688 0.3555 0.3262 13 0.6810 0.4150 0.3677 0.2897 0.2292 13 0.1625 0.1413 0.8700 0.7579 0.6611 0.5051 0.4423 0.3405 0.2992 0.2046 14 14 15 0.5775 0.5553 0.6419 0.2745 0.8613 0.8528 15 0.7430 0.7284 0.3878 0.3624 0.3387 0.4810 0.4581 0.3152 0.2919 0.2633 0.2394 0.2176 0.1978 0.4173 0.3936 0,3714 0.1827 0,1631 16 0.6232 0.2519 0.5339 0.5134 0.1229 0.1069 0.0929 16 17 0.6050 0.1456 17 0.8444 0.8360 0.7142 0.7002 0.4363 0.4155 0.3166 0.2959 0.2311 0.2120 18 0.4936 0.3503 0.2703 0.2502 0.2317 0.1799 0.5874 0.5703 18 0.1300 0.1161 0.0808 0.0703 19 0.3305 0.1945 19 0.8277 0.8195 20 0.4746 0.4564 0.3751 0.1784 0.6864 0.6730 0.6095 0.5521 0.5000 0.3957 0.3769 0.2953 0.2314 0.3118 0.2330 0.2765 0.2584 0.1842 0.1314 0.2145 0.1460 0.1635 0.1486 0.0923 25 20 25 0.1160 0.5537 0.4776 0.4120 0.3554 0.3066 0.7798 0.7419 0.7059 0.1037 0.0588 0.0334 30 0.0611 0.0304 0.0151 0.0075 0.0573 30 0.3083 0.2534 0.1741 0.1301 0.0994 0.0676 0.0754 0.0490 35 0.1813 35 0.0937 0.0668 0.0356 0.0221 0.0189 0.0107 40 0.6717 0.4529 0.2083 0.1420 0.0972 0.0460 0.0318 0.0037 40 *Used 10 compute the present value of a known future amount. For example: How much would you need to invest today at 10% compounded semiannually lo accumulate $5.000 in 6 years from today? Using the factors of n = 12 and i = 5% (12 semiannual periods and a semiannual rate of 5%), the factor is 0.5568. You would need to invest $2,784 loday ($5,000 x 0.5568). Table B.2 Future Value of 1 f= (1 + i)" Rate Periods 1% 2% 4% 5% 6% 7% 8% 9% 10% 12% 15% Periods 3% 1.0000 0 1.0000 1.0000 1.0000 1.0000 1.0000 0 1.0000 120100 1.0000 1,0400 1.0000 1.0800 1.0000 1.0410 1 1.0200 1.0700 1.1000 1.1200 1.1500 1 1.0000 1.0500 1.1025 1.1976 1.0000 1.060) 1.1236 1.1910 1.0404 1.0300 1.06119 1.0927 1.1664 2 2 3 3 2 1.11201 1.0303 1,0816 1.1249 H 1.1449 1.2250 1.1881 1.2950 1.0612 1.2100 1.3310 1.4641 1.3225 1.5209 1.2597 1.2544 1.4049 1.5735 3 H 4 1.0406 1.0824 1.1255 1.1699 1.215$ 1.3108 1.3605 1.4116 1.7490 4 S 1.1041 1.1593 1.2167 1.2763 1.4026 1.4693 1.5386 1.7623 2.0114 5 1.6105 1.7716 6 1.5869 2.3131 6 1.2625 1.3382 1.4185 1.5036 1.5938 1.0510 1.0615 1.0721 1.0829 1.0937 1.1262 1.1487 1.1941 1.2299 1.2653 1.3159 1.3686 1.5007 1.6058 7 1.6771 1,8280 1.3401 1.4071 1.4775 1.5513 7 1.7138 1.8509 1.9738 2.2107 2.4760 2.7731 8 1.2668 1.7182 1.9487 2.1436 2.3579 1.1717 1.1951 1.9926 2.1719 8 2.6600 3.0590 3.5179 9 1.9990 9 1.3048 1.3439 1.4233 1.4802 1.6895 1.7908 1.8385 1.9672 10 1.1046 1.2190 1.6289 2.1589 2.3674 2.5937 3.1058 10 4.0456 4.6524 11 1.1157 1.2434 1.5395 1.7103 1.8983 2.1049 2.3316 2.5804 2.8531 11 1.3842 1.4258 3.4785 3.8960 12 1.1268 1.2682 2.0122 2.5182 2.8127 3.1384 5.3503 12 1.6010 1.6651 2.2522 2.4098 6.1528 13 14 13 1.7959 1.8856 1.9799 1.1381 1.1495 1.2936 1.3195 1.3459 1.4685 1.5126 1.5580 2.1329 2.2609 1.7317 2.7196 2.9372 3.1722 4.3635 4.8871 2.5785 2.7590 3.4523 3.7975 4.1772 14 3.0658 3.3417 3.6425 3.9703 7.0757 8.1371 15 1.1610 1.80/09 2.0789 2.3966 15 5.4736 6.1304 16 1.3728 1.6047 2.1829 2.5404 2.9522 4.5950 16 1.1726 1.1843 1.8730 1.9479 3.4259 3.7000 9.3576 10.7613 17 1.6528 2.2920 3.1588 5.0545 17 1.4002 1.4282 6.8660 7,6900 18 1.1961 2.0258 2.4066 3.3799 3.9960 5.5599 12.3755 18 1.7024 1.7535 2.6928 2.8543 3.0256 3,2071 4.3276 4.7171 5.1417 5.6044 19 19 1.2081 1.2202 1.4568 1.4859 4.3157 4.6610 1.8061 2.5270 2.6533 3.3864 3.6165 3.8697 5.4274 8.6128 9.6463 20 25 2.1068 2.1911 2.6658 3.2434 6.1159 6.7275 10.8347 20 14.2318 16.3665 32.9190 2.0938 4.2919 6.8485 8.6231 25 1.2824 1.3478 1.6406 1.8114 17.0001 29.9999 30 2.4273 4.3219 9.7435 7.6123 13.2677 17.4494 66.2118 30 10.0627 14.7853 35 1.4166 2.8139 10.6766 20.4140 28.1024 52.7996 133.1755 35 1.9999 2.2080 3.9461 4.8010 5.5160 7.0400 7.6861 10.2857 40 1.4889 3.2620 14.9745 21.7245 31.4094 45.2593 930510 267.8635 40 Used to compute the future value of a known present anount. For example: What is the accumulated value of $3,000 invested today at 8% compounded quarterly for 5 years? Using the factors of n = 20 and i = 2% (20 quarterly periods and a quarterly interest rate of 2%). the factor is 1.4859. The accumulated value is $4,457.70 ($3,000 1.4859). Table B.3Present Value of an Annuity of 1 p= [1 - 1/(1 + 1"i Rate Periods 1% 2% 3% 4% 5% 6% 7% 8% 9% 15% 10% 0.9091 12% 0.8929 Periods 1 1 0.9901 0.9804 0.9709 0.9615 0.9524 0.9434 0.9346 0.9259 0.9174 0.8696 1.6257 2 1.9135 1.8861 1.8594 1.8334 1.8080 1.7833 1.7591 1.7355 2 1.9704 2.9410 1.9416 2.8839 1.6901 2.4018 3 2.8286 2.6243 2.4869 2.2832 3 2.7751 3.6299 2.7232 3.5460 2.6730 3.4651 2.5313 3.2397 4 3.9020 3.8077 3.7171 2.5771 3.3121 3.9927 3.3872 3.1699 2.8550 4 3.0373 3.6048 5 4.5797 4.4518 4.2124 3.7908 3.3522 5 4.8534 5.7955 4.7135 5.6014 4.3295 5.0757 4.1002 4.7665 3.8897 4.4859 6 5.4172 4.9173 4.6229 4.3553 4.1114 6 5.2421 6.0021 3.7845 4.1604 7 6.4721 5.7864 5.3893 5.2064 4.8684 7 7 6.7282 7.6517 6.2303 7.0197 5.5824 6.2098 5.0330 S.S348 4.5638 4.9676 8 7.3255 6.7327 6.4632 5.9713 5.7466 5.3349 8 9 8.5660 8.1622 7.7861 7.1078 6.2469 5.3282 7.4353 8.1109 9 6.8017 7.3601 6.5152 7.0236 5.9952 6.4177 4.4873 4.7716 5.0188 5.7590 6.1446 10 9.4713 8.5302 7.7217 5.6502 10 8.9826 9.7868 6.7101 7.1390 11 9.2526 8.7605 8.3064 7.8869 6.8052 5.9377 11 10.3676 11.2551 7.4987 7.9427 5.2337 5.4206 12 9.3851 8.3838 7.5361 6.1944 10.5753 11.3484 12 6.4951 6.8137 7.1034 9.9540 10.6350 8.8633 9.3936 7.1607 7.4869 13 9.9856 8.8527 8.3577 7.9038 S.5831 13 12.1337 13.0037 6.4235 6.6282 14 12.1062 10.5631 9.8986 9.2950 8.7455 8.2442 7.7862 5.7245 14 11.2961 11.9379 7.3667 7.6061 15 10.3797 9.1079 8.5595 8.0607 6.8109 5.8474 15 13.8651 14.7179 12.8493 13.5777 11.1184 11.6523 9.7122 10.1059 16 12.5611 10.8378 8.8514 6.9740 16 8.3126 8.5436 7.8237 8.0216 5.9542 6.0472 17 15.5623 13.1661 9.1216 17 14.2919 14.9920 12.1657 12.6593 11.2741 11.6896 7.1196 7.2497 9.3719 8.7556 6.1280 18 18 19 16.3983 17.2260 18.0456 13.7535 14.3238 14.8775 9.6036 8.9501 9.4466 9.7632 10.0591 10.3356 10.5940 11.6536 12.4090 13.1339 13.5903 7.3658 8.2014 8.3649 8.5136 19 10.4773 10.8276 11.1581 11.4699 12.7834 13.7648 6.1982 6.2593 20 9.8181 9.1285 15.6785 16.3514 19.5235 22.3965 7.4694 12.0853 12.4622 14.0939 15.3725 20 25 9.8226 7.8431 6.4641 25 22.0232 25.8077 17.4131 19.6004 15.6221 17.2920 10.6748 11.2578 11.6546 9.0770 9.4269 30 10.2737 8.0552 6.5660 30 35 18.6646 14.4982 12.9477 10.5668 8.1755 6.6166 35 29.4086 32.8347 24.9986 27.3555 21.4872 23.1148 16.3742 17.1591 9.6442 9.7791 40 19.7928 15.0463 13.3317 11.9246 10.7574 8.2438 6.6418 40 #Used to calculate the present value of a series of equal payments made at the end of each period. For example: What is the present value of $2,000 per year for 10 years assuming an annual interest rate of 9%? For (n = 10,i = 9%), the PV factor is 6.4177. $2,000 per year for 10 years is the equivalent of $12,835 today ($2,000 6.4177). Table B.4%Future Value of an Annuity of 1 f=[(1 + )" - 13/1 Rate Periods 1% 2% 3% 4% 5% 690 7% 8% 9% 10% 12% 15% Periods 1 1.0000 1.0000 1.000X0 1.00XXO 1.000 1.00XXO 1.0000 1.0000 1.0000 1 1.0000 2.0600 2 2.0100 2.03.08 2.0400 2.0500 2.0700 2.0800 2.1200 2.1500 2 3 3 2.0200 3.0604 4.1216 3.0301 3.0909 3.1836 3.2149 3.3744 3.4725 3.1216 4.2465 3.1525 4.3101 3.2464 4.5061 4 4.0604 4.1836 4.3746 4.4399 4.7793 4 4.9934 6.7424 5 5.1010 5.2040 5.3091 S.4163 5.6371 5.7507 5.8666 6.3528 S s 5.5256 6.8019 6 6 6.1520 6.6330 8.1152 8.7537 6 6.4684 7.6625 6.3081 7.4343 8.5830 7 7.2135 7.3359 8.9228 7.8983 6.9753 8.3938 9.8975 8.1420 7.1533 8.6540 10.2598 10.0890 11.0668 7 8 8 8.2857 8.8923 8 9 9.3685 9.2142 10.5828 12.0061 9.5491 11.0266 12.5779 10.1591 11.4639 11.4913 9 10.6366 12.4876 14.4866 10 11.9780 13.8164 15.7836 10.4622 10 11 11.5668 13.4864 14.2068 16.6455 11 12 12 12.6825 13.8093 12.8078 14.1920 15.6178 17.0863 15.0258 16.6268 17.8885 20.1406 22.5505 13 14 13.1808 14.9716 16.8699 18.8821 21.0151 23.2760 25.6725 13 1.0000 1.000 2.0900 2.1000 3.2781 3.3100 4.5731 4.6410 5.9847 6.1051 7.5233 7.7156 9.2004 9.4872 11.0285 11.4359 13.0210 13.5795 15.1929 15.9374 17.5603 18.5312 20.1407 21.3843 22.9534 24.5227 26.0192 27.9750 29.3609 31.7725 33.0034 35.9497 36.9737 40.5447 41.3013 45.5992 46.0185 51.1591 51.1601 57.2750 84.70019 98.3471 136.3075 164.4940 215.7108 271.0244 337.8824 442.5926 14.9474 14 18.9771 21.4953 24.2149 27.1521 30.3243 15 9.7546 10.9497 12.1687 13.4121 14.6803 15.9739 17.2934 18.6393 20.0121 21.4123 22.8406 24.2974 32.0303 40.5681 16.0969 18.5989 15.9171 17.7130 19.5986 21.5786 23,6575 25.8404 28.1324 30.5390 18.2919 20.0236 21.8245 15 16 17.2579 25.1290 27.8881 30.8402 12.2997 13.7268 14.7757 16.7858 17.5487 20.3037 20.6546 24.3493 24.1331 29.0017 28.0291 34.3519 32.3926 40.5047 37.2797 47.5804 42.7533 55.7175 48.8837 65.0751 55.7497 75.8364 63.4397 88.2118 72.0524 102.4436 133.3339 212.7930 241.3327 434.7451 431.6635 881.1702 767,0914 1,779,0903 16 17 28,2129 17 18.4304 19.6147 33.7502 37.4502 18 23.6975 25.6454 27.6712 20.1569 21.7616 23.4144 25.1169 26.8704 36,4593 30.9057 18 33.9990 37.3790 19 20.8109 33.7600 41.4463 19 20 29.7781 33,0660 36.7856 20 22.0190 28.2432 34.7849 40.9955 63,2490 45.7620 73.1059 41.6459 54.8645 25 30 25 47.5754 56.0849 94.4608 47.7271 66,4388 90.3203 120.7998 35 41.6603 73.6522 49.9945 60.4020 60.4621 75.4013 79.0582 111.4348 154.7620 138.2369 199.6351 113.2832 172.3168 259.0565 30 35 40 40 48.8864 95.0255 6 $Used to calculate the future value of a series of equal payments made at the end of each period. For example: What is the future value of $4,000 per year for 6 years assuming an annual interest rate of 8%? For (n = 0, 1 = 8%), the FV factor is 7.3359. $4.000 per year for 6 years accumulates to $29,343.60 ($4,000 x 7.3359)
Step by Step Solution
There are 3 Steps involved in it
Get step-by-step solutions from verified subject matter experts
