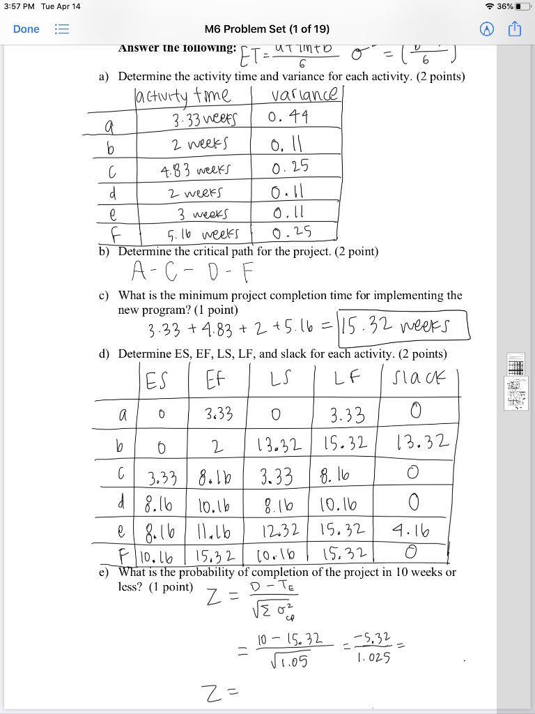
Question: I need help finding the probability in question E. I think Ive done everything correct but Im getting a really high value for Z that
I need help finding the probability in question E. I think Ive done everything correct but Im getting a really high value for Z that isnt on the Z table


Step by Step Solution
There are 3 Steps involved in it
Get step-by-step solutions from verified subject matter experts
