Question: I need help please. if you can solve this questions I will really appreciate. Thank you. this is three time, I'm asking same question so
I need help please. if you can solve this questions I will really appreciate. Thank you.
this is three time, I'm asking same question so please help.


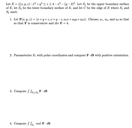
Let E= {(x, w.=):x]+y
Step by Step Solution
There are 3 Steps involved in it
Get step-by-step solutions from verified subject matter experts
