Question: i need python code for this question i need pythoncode which i can copy paste in my IDE this is question below is the answer
i need python code for this question
i need pythoncode which i can copy paste in my IDE
this is question

below is the answer of above question

....
.............,,,//
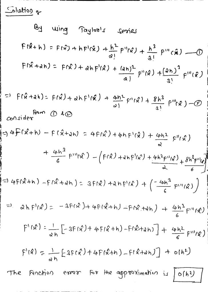
Example 2. Using the Taylor series, determine the function error for the approximation: f'(a) 1 (-3f (a) + 4f (a + h) f(a + 2h)] 2h Solution in the maxima program g[h]:=f[x] +('diff(f[x],x.1))*h+(('diff(f[x],x.2))*h^2)/2+(('diff(f[x],x-3))*h^3)/6+(('diff(f[x].x.4)) *h44)/24; expand((-3*g[0] +4*g[h]-g[2*h])/(2*h)); - h^3*('diff(f[x],x.4)}/4-(h^2*('diff(f[x].x.3}}}/3+'diff(f[x].x.1) That is a prudent expression has an error: 0(h^2) Soletion of By using Tayloo's Series Fr + h) - Fi) + hf'c +62 pire) pisch) 2) Frtah) = free) tahf'lo) + (an)? P" ( ) + lan)? Fille) 31 h 3 + 21 - fltah) = fr) + 2h f'ra) + 4h2 fir + + 8h3 pir ) - pune) 3! From A consider Bo 4F(x+h) F x+ab) = 4 FR) + eh P'c ) + wh $"
Step by Step Solution
There are 3 Steps involved in it
Get step-by-step solutions from verified subject matter experts
