Question: I need someone to write a code for recursion relation by wolfram mathematica ( I want to solve the energy E) Recursion Relation n -E
I need someone to write a code for recursion relation by wolfram mathematica ( I want to solve the energy E)

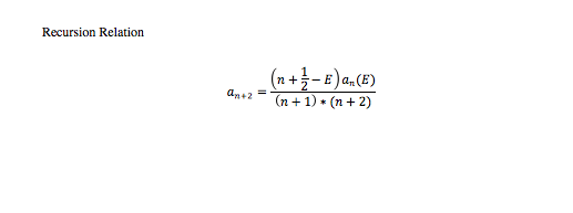
Recursion Relation n -E ) an(E) 4m = (n+1),(n+2) Recursion Relation n -E ) an(E) 4m = (n+1),(n+2)
Step by Step Solution
There are 3 Steps involved in it
Get step-by-step solutions from verified subject matter experts
