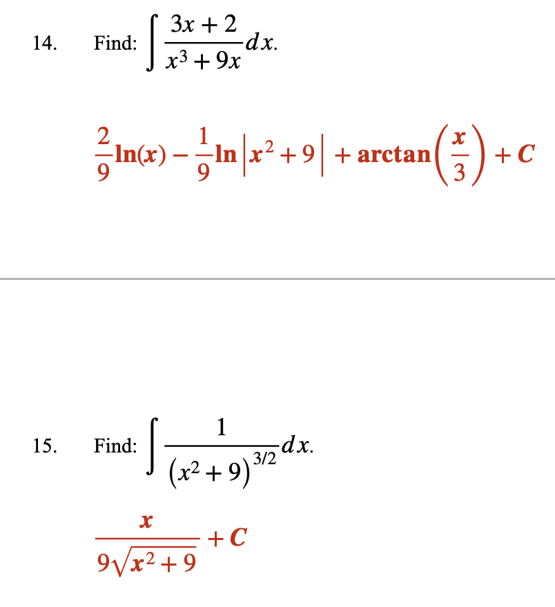
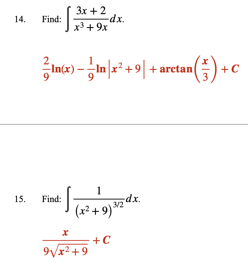
Question: I was given some practice problems for an exam. I was reviewing these two and don't understand how my professor got these two answers. Could

I was given some practice problems for an exam. I was reviewing these two and don't understand how my professor got these two answers. Could someone please help me understand them?

Step by Step Solution
There are 3 Steps involved in it
Get step-by-step solutions from verified subject matter experts
