Question: I would like the expert to answer the question using excel. Thank You!! Case Problem Question: A national car dealership has collected data from dealerships


I would like the expert to answer the question using excel. Thank You!!
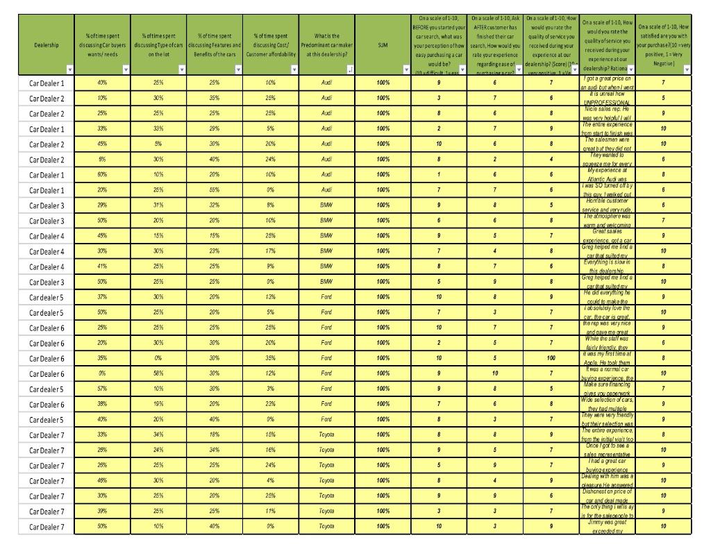
Case Problem Question: A national car dealership has collected data from dealerships across the country. Each dealership gathered data on customer interactions. Your task is to analyze this data and present it to the dealership CEO. The CEO is looking for answers to two important questions about his company. He would like a few PowerPoint slides that present the data in response to his questions. 1. How much time do employees at his car dealership spend talking about each aspect of the car buying experience? 2. What is the belief and perception of the quality of service and product that is provided to his customers? In addition to providing the slides that answer the questions above, the CEO will be looking for some recommendations from you that could be actioned to improve his business based on the data collected. Dealership Softime spent Noftime spent % of time spent of time spent discussingCar buyers discussing Typeofcas discussing Features and discussing Cost/ wantseeds on the lat Benefits of the cars customer affordability Whatis the Predominant carmaker at this dealership? SUM * Car Dealer 1 40% 25% 25% 10% Audi 100% 10% 30% 35% 25% Audi 100% Car Dealer 2 Car Dealer 2 2 25% 25% 25% 25% Aud! 100% Car Dealer 1 33% 33% 29% Audi 100% 49% 5% 30% 20% Audi 100% Car Dealer 2 Car Dealer 2 5% 30% 40% 24% Audi 100% Car Dealer 1 67% 10% 20% 10 Aud! 100% 20% 25% 55% 0% Audi 100% Car Dealer 1 Car Dealer 3 29% 31% 32% 9% BMW 100% Car Dealer 3 50% 20% 20% 10% BUW 100% Car Dealer 4 45% 15% 15% 25% BMW 100% Car Dealer 4 30% 30% 23% 17% BMW 100% Car Dealer 4 41% 25% 25% 9% BUW 100% Ona scale of 1-10 01 a scale of 1-10. Ask On a tale of 1-10 How On a scale of 1-10, How BEFORE you started your AFTER customer has would you rate the Ona scale of 1-10, How would you rate the car search, what was finished their car quality of service you satisfied are you with quality service you your perception othow Search, How would you receled during your your purchase? 10-very received during your easy purchasigacar rate your experience experence at our positive, I = Very Esperience at our would be regardingease of dealership Scorel - ( Negative med e dealership Rationa 1 got a great price an 9 6 6 7 7 7 an and out when I went STCW TITS unreal w 3 3 7 6 5 UMPROSESSIONAL Nice sales rep. He 8 6 8 9 was will The entire experience 2 7 9 10 framistinish was The same mere 10 6 8 10 crear but they did not 8 8 2 They wanted to 2 4 6 ARAZAMA RAMA My experience 1 6 6 8 Allant was wes suwmed owo 7 7 6 6 this guy walikodu MILLE Horne customer 9 & a 5 6 service and warrude The atmosphere was 6 6 8 7 avmandarmi Greal saras 9 5 7 9 Guarantacar 7 Greg hepe med 4 8 10 -- Everything is slow in 8 7 6 8 this sealership Greg ho pou me na 5 9 8 10 - He wayang 10 8 9 9 could to make tre lacsoruly love the 7 3 7 10 Raracas 10 7 there was wry NICO 7 9 and av at wie in star was 2 5 7 6 firmy it was my rs meal 10 5 5 100 8 Carl Z: ak tham wos a roma car 9 10 7 10 VIDURATIARA MEXO sure financing 9 8 5 7 IASIRIRIRLO WIGG selecoon Cars, 7 6 8 9 theted They were very friendly 8 3 7 7 9 hurthair salation was the antire experience 8 a 9 8 from hinavating Orice galo see a 9 5 7 10 SASTRA had a great car 5 G 7 9 buving experience Dealing with was a 8 4 9 9 10 IRIRIKA HAWA Dishanesion price of 9 9 5 10 read dearmade The only thing way 3 3 3 7 9 le for the salata 10 3 9 my was great 10 erca Car Dealer 3 50% 25% 25% 0% BMW 100% 37% 30% 20% 13% Ford 100% 50% 25% 20% 5% Ford 100% 25% 25% 25% 25% Ford 100% Car dealer 5 Car dealer 5 Car Dealer 6 Car Dealer Car Dealer 6 Car Dealer 6 20% 30% 30% 20% Ford 100% 35% % 0% 30% 35% Ford 100% 9% 58% 30% 12% Ford 100% Car dealer 5 57% 10% 30% 3% Ford 100% 39% 19% % 20% 23% Ford 100% Car Dealer 6 Cardealer 5 40% 20% 40% 0% Ford 100% Car Dealer 7 33% 31% 18% 15% Toyota 100% Car Dealer 7 29% 24% 34% 16x Toyota 100% Car Dealer 7 25% 25% 25% 24% Toyota 100% Car Dealer 7 30% 20% 4% Toyota 100% Car Dealer 7 30% 25% 20% 25% Toyota 100% Car Dealer 7 39% 25% 25% 11% Toyota 100% Car Dealer 7 50% 10% 40% 0% Toyota 100%Step by Step Solution
There are 3 Steps involved in it
1 Expert Approved Answer
Step: 1 Unlock
Question Has Been Solved by an Expert!
Get step-by-step solutions from verified subject matter experts
Step: 2 Unlock
Step: 3 Unlock
