Question: I'm getting wrong wrong for both question please help me out with correct and let me know how to solve this question with step by
I'm getting wrong wrong for both question please help me out with correct and let me know how to solve this question with step by step and give me answer
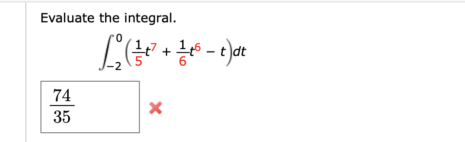
1)


Let g(x) = / f(t) dt, where f is the function whose graph is shown. y -3- fit ) -2 10 20 30 40 -1 - 2 -3 (a) At what values of x do the local maximum and minimum values of g occur? Xmin = 10 X (smaller x-value) Xmin = 30 X (larger x-value) Xmax = 20 X (smaller x-value) Xmax = 40 X (larger x-value) (b) Where does g attain its absolute maximum value? X = 40 X (c) On what interval is g concave downward? (Enter your answer using interval notation.)\f
Step by Step Solution
There are 3 Steps involved in it
Get step-by-step solutions from verified subject matter experts
