Question: Use MATLAB to complete the following operations Use row reduction to find the inverse of matrix A. If the matrix is invertible, extract the inverse
Use MATLAB to complete the following operations
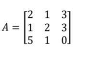
Use row reduction to find the inverse of matrix A. If the matrix is invertible, extract the inverse of the augmented matrix and verify using matrix multiplication that it is indeed the inverse. Confirm your result using the inv command in MATLAB.
![( A=left[begin{array}{lll}2 & 1 & 3 1 & 2 & 3 5 & 1 & 0end{array}right] )](https://dsd5zvtm8ll6.cloudfront.net/si.experts.images/questions/2022/09/631b226a628f7_1662722665090.jpg)
Please copy and paste the output given by Matlab as well as the commands used. That way I can get a step by step breakdown on how to solve this particular problem
[2 1 31 A 1 2 3 15 1 0]
Step by Step Solution
There are 3 Steps involved in it
Get step-by-step solutions from verified subject matter experts
