Question: Immediate Predecessor none Activity A B A B, C D F E, G Optimistic Time Most Likely Time Pessimistic Time Estimate (a) Estimate (m) Estimate

Immediate Predecessor none Activity A B A B, C DImmediate Predecessor none Activity A B A B, C DImmediate Predecessor none Activity A B A B, C DImmediate Predecessor none Activity A B A B, C D

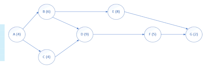
Immediate Predecessor none Activity A B A B, C D F E, G Optimistic Time Most Likely Time Pessimistic Time Estimate (a) Estimate (m) Estimate (b) 2 5 8 5 6 10 2 4 6 4 7 15 3 4 8 2 3 6 4 5 9 1 2 5 E F G H 3 N on Cost Information Crash Cost per Day? = 1000/1 Normal Crashed Duration Duration No. of Days Available for Activity (day) Total Cost (in $US) (day) Total Cost (in $US) Crashing? A 4 $ 1,000 3 2000 =4-3 B 6 $ 1,800 3 3000 4 $ 2,500 3 4000 D 2,700 6 6500 determine the rest yourself E 8 $ 2,400 6 4500 F 5 $ 3,500 3 7000 G 2 2,400 1 3000 0 000 B (6) E (8) A (4) D(9) F(5) G (2) C(4) Problem #2 Suppose you are considering crashing a project. The project's network diagram (AON format) is shown on the Problem-2 Data Worksheet, along with the table identifying the critical activities, and the crash cost for all tasks. 2.1 What is the project's critical path and what is its length? (10 points) 2.2 What is the normal cost of the project? (10 points) 2.3 Crash the project (shorten the project duration) by 3 days. List the activities for the first, second, and third crashes and the total crash (additional) cost. (20 points) Optional, Bonus #2 (7 points) In CLTBest Printing, Royal's blue is a popular input with an annual demand of 50,000 gallons. ordering cost of $50 per order, and the holding cost is $5 per unit per year, the economic order quantity is 1000. Hence during the year, they used 1000 as the order quantity. An audit of the costs revealed that the true ordering cost was only $25 and the true holding cost was $10 per gallon per year. The correct order quantity would have been 500

Step by Step Solution

There are 3 Steps involved in it

1 Expert Approved Answer
Step: 1 Unlock blur-text-image
Question Has Been Solved by an Expert!

Get step-by-step solutions from verified subject matter experts

Step: 2 Unlock
Step: 3 Unlock

Students Have Also Explored These Related General Management Questions!