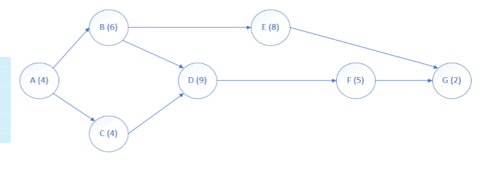
Question: Immediate Predecessor none Activity A B A B, C D F E, G Optimistic Time Most Likely Time Pessimistic Time Estimate (a) Estimate (m) Estimate




Immediate Predecessor none Activity A B A B, C D F E, G Optimistic Time Most Likely Time Pessimistic Time Estimate (a) Estimate (m) Estimate (b) 2 5 8 5 6 10 2 4 6 4 7 15 3 4 8 2 3 6 4 5 9 1 2 5 E F G H 3 N on Cost Information Crash Cost per Day? = 1000/1 Normal Crashed Duration Duration No. of Days Available for Activity (day) Total Cost (in $US) (day) Total Cost (in $US) Crashing? A 4 $ 1,000 3 2000 =4-3 B 6 $ 1,800 3 3000 4 $ 2,500 3 4000 D 2,700 6 6500 determine the rest yourself E 8 $ 2,400 6 4500 F 5 $ 3,500 3 7000 G 2 2,400 1 3000 0 000 B (6) E (8) A (4) D(9) F(5) G (2) C(4) 1.1 Determine the critical path and the length of the critical path (i.e., the project's expected duration). (20 points) 1.2 Estimate the probability of finishing the project in 28 days or less. (15 points) 1.3 You learn you can receive a significant bonus if the project finishes on day 25. What is the probability of this occurring? (15 points) 1.4 To provide your top managers with a 95% assurance of finishing on time, how long should the project's duration be? (Optional, Bonus #1: 8 points) Immediate Predecessor none Activity A B A B, C D F E, G Optimistic Time Most Likely Time Pessimistic Time Estimate (a) Estimate (m) Estimate (b) 2 5 8 5 6 10 2 4 6 4 7 15 3 4 8 2 3 6 4 5 9 1 2 5 E F G H 3 N on Cost Information Crash Cost per Day? = 1000/1 Normal Crashed Duration Duration No. of Days Available for Activity (day) Total Cost (in $US) (day) Total Cost (in $US) Crashing? A 4 $ 1,000 3 2000 =4-3 B 6 $ 1,800 3 3000 4 $ 2,500 3 4000 D 2,700 6 6500 determine the rest yourself E 8 $ 2,400 6 4500 F 5 $ 3,500 3 7000 G 2 2,400 1 3000 0 000 B (6) E (8) A (4) D(9) F(5) G (2) C(4) 1.1 Determine the critical path and the length of the critical path (i.e., the project's expected duration). (20 points) 1.2 Estimate the probability of finishing the project in 28 days or less. (15 points) 1.3 You learn you can receive a significant bonus if the project finishes on day 25. What is the probability of this occurring? (15 points) 1.4 To provide your top managers with a 95% assurance of finishing on time, how long should the project's duration be? (Optional, Bonus #1: 8 points)