Question: IMPORTANT : If youre going to write please make sure your writing is neat and easy to read. Please write in print (not cursive).Please give
IMPORTANT: If youre going to write please make sure your writing is neat and easy to read. Please write in print (not cursive).Please give a detailed explanation for your answers. Thank you




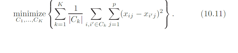
1. This problem involves the K-means clustering algorithm. (a) Prove (10.12). (b) On the basis of this identity, argue that the K-means clustering algorithm (Algorithm 10.1) decreases the objective (10.11) at each iteration. P P 1 |CA| 1,1' C, j=1 ( Air j)2 = 2 (11) - )?, 1 (lij Ikj (10.12) ieCk j=1 Algorithm 10.1 K-Means Clustering 1. Randomly assign a number, from 1 to K, to each of the observations. These serve as initial cluster assignments for the observations. 2. Iterate until the cluster assignments stop changing: (a) For each of the K clusters, compute the cluster centroid. The kth cluster centroid is the vector of the p feature means for the observations in the kth cluster. (b) Assign each observation to the cluster whose centroid is closest (where closest is defined using Euclidean distance). K minimize C1,...,CK 1 Ck (; tv j)? . ( .. ' (10.11) k- 1,1' ECk j=1
Step by Step Solution
There are 3 Steps involved in it
Get step-by-step solutions from verified subject matter experts
