Question: In early 1993, Specialty Contractors, Inc. (SCI) received a fixed price contract to construct a telecommunications relay station from the Nebraska Broadcasters Association (NBA). Using
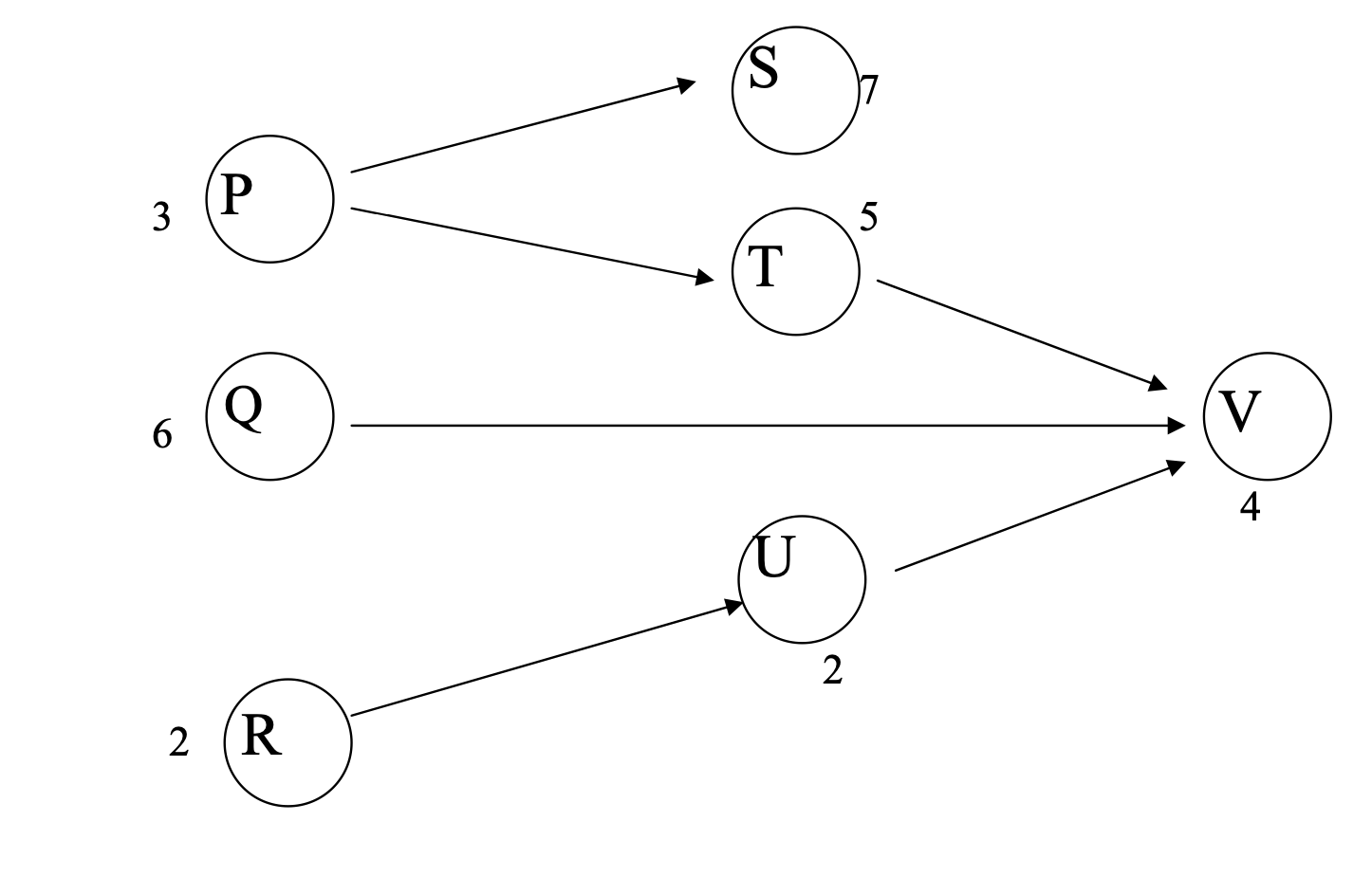
In early 1993, Specialty Contractors, Inc. (SCI) received a fixed price contract to construct a telecommunications relay station from the Nebraska Broadcasters Association (NBA). Using network diagramming, the contract coordinator, Mr. Harris, determined that the project could begin on August 6 and still be completed prior to the October 26 deadline (12 weeks) imposed by the NBA. The network of the project is shown in Exhibit 1, with the activity durations (in weeks) indicated next to the nodes.
As the August 6th date approached, Mr. Harris learned that a fire in SCIs regional office would delay the start of the project by four weeks. He was noticeably disturbed, as he recalled the penalty clause in the contract: For each week or part of a week beyond the October 26th completion deadline, the contract price would be reduced by $9,000 from the original fixed price of $90,000.
Since Mr. Harris original network diagram included no overtime or expediting costs, he felt it might be possible to reduce the length of the overall project to avoid some of the penalty costs. He began his analysis by determining the minimum time duration (in weeks) required to complete each activity in the network if the maximum amount of overtime and expediting were employed for the project. He also calculated the total cost of the project for completion within this minimum time. He further determined the cost slope (the cost required to reduce an activity by one week) for each activity. His data is summarized in Exhibit 2.
Mr. Harris then wondered how to determine which activities should be decreased in duration and by how much. He felt the crashing features of the Critical Path Method (CPM), sometimes referred to as the PERT/COST Method, could help him reach a logical decision about the NBA project.


Identify which activities should be crashed and by how much time, what is the cost of doing this and how soon can the project be completed. (Hint: Use the greedy algorithm even though it is not guaranteed to always find the optimal solution)
Exhibit 1 Specialty Contractors, Inc. Network Diagram Activity Description Q R S Procure materials Prepare site Prepare requests for NBA Project approval Install connecting lines Prefabricate building & deliver equipment to site Obtain NBA approval for building site On-site testing of control apparatus T U V Exhibit 2 Specialty Contractors, Inc Project Crash Cost Table Minimum Maximum Minimum Maximum Cost Activity Cost Time Time P 3 2 Q 6 4 R Slope $5,000 $6,000 $3,000 $3,000 $4,000 2 1 S 7 $5,000 $14,000 $3,000 $11,000 $10,000 $8,000 $10,000 $61,000 5 Cost $10,000 $26,000 $6,000 $17,000 $18,000 $8,000 $24,000 109,000 T 5 3 V 4 2 $7,000 Total S P 3 5 T Q V 6 2 2 (RStep by Step Solution
There are 3 Steps involved in it
Get step-by-step solutions from verified subject matter experts
