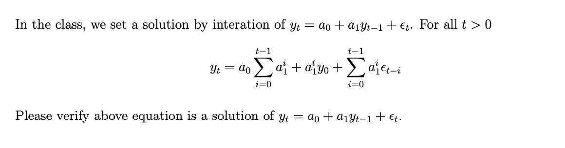
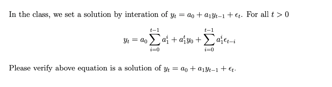
Question: In the class, we set a solution by interation of y; = a0 + a1y_1 + at. For all t > O tl tl '


In the class, we set a solution by interation of y; = a0 + a1y_1 + at. For all t > O tl tl ' t 1? 29': = 5502 :3314' C"'13:"0 + E :alet Please verify above equation is a solution of y; = a0 + a1y_1 + 5
Step by Step Solution
There are 3 Steps involved in it
Get step-by-step solutions from verified subject matter experts
