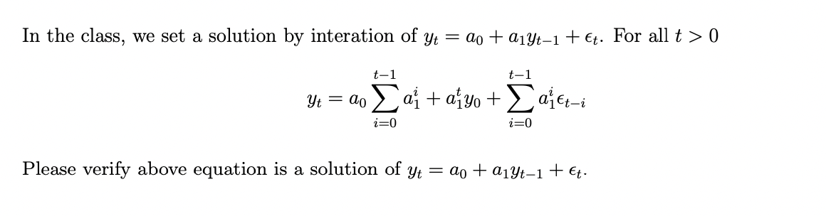
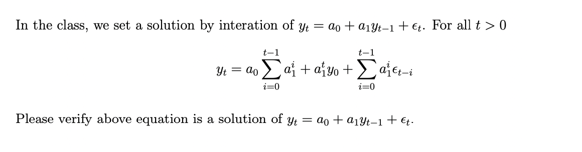
Question: In the class, we set a solution by interation of y; = a0 + a1y_1 + at. For all t > O tl tl '

 In the class, we set a solution by interation of y;

= a0 + a1y_1 + at. For all t > O tl

In the class, we set a solution by interation of y; = a0 + a1y_1 + at. For all t > O tl tl ' t 1? 29': = 5502 :3314' C"'13:"0 + E :alet Please verify above equation is a solution of y; = a0 + a1y_1 + 5

Step by Step Solution

There are 3 Steps involved in it

1 Expert Approved Answer
Step: 1 Unlock blur-text-image
Question Has Been Solved by an Expert!

Get step-by-step solutions from verified subject matter experts

Step: 2 Unlock
Step: 3 Unlock

Students Have Also Explored These Related Mathematics Questions!