Question: in the Excel file, use the 5 different Excel functions listed below (you must use all 5): Absolute cell referencing and Relative cell referencing ?
in the Excel file, use the 5 different Excel functions listed below (you must use all 5):
Absolute cell referencing and Relative cell referencing
?NestedIF Function i.e. multiple IF functions in the one formula
?VLOOKUP Function
?PivotTable and PivotChart
?Filters and the Subtotal function
When using the functions, make the purpose of their use relevant to the business. As an example of an idea you could do something like the below:
-Forecasted income statement based on different future sale achievements (e.g., poor, moderate, good)
Format your spreadsheet appropriately. You may use colours, styles and fonts of your choice to enhance the readability of your workbook. Formatting is part of the marking.

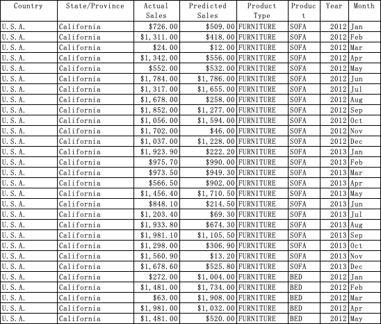
Country State/Province Actual Sales Predicted Sales Product Produc Year Month t U. S. A. California $726.00 $509.00 FURNITURE SOFA 2012 Jan U. S. A. California $1,311.00 $418. 00 FURNITURE SOFA 2012 Feb U. S. A. California $24.00 $12.00 FURNITURE SOFA 2012 Mar U. S. A. California $1,342.00 $556.00 FURNITURE SOFA 2012 Apr U. S. A. California $552.00 U. S. A. California U. S. A. California. $1,784.00 $1,317.00 $532.00 FURNITURE SOFA $1, 786. 00 FURNITURE 2012 May SOFA 2012 Jun $1,655.00 FURNITURE SOFA 2012 Jul U. S. A. California $1,678.00 $258.00 FURNITURE SOFA 2012 Aug U.S. A. California $1,852.00 $1,277.00 FURNITURE SOFA 2012 Sep U. S. A. California $1,056.00 $1,594. 00 FURNITURE SOFA 2012 Oct U. S. A. California $1,702.00 $46.00 FURNITURE SOFA 2012 Nov U. S. A. California. $1,037.00 $1, 228. 00 FURNITURE SOFA 2012 Dec U. S. A. California $1,923.90 $222. 20 FURNITURE SOFA 2013 Jan U. S. A. California $975.70 $990.00 FURNITURE SOFA 2013 Feb U. S. A. California. $973.50 $949. 30 FURNITURE SOFA 2013 Mar U. S. A. California $566.50 $902. 00 FURNITURE SOFA 2013 Apr U.S. A. California $1,456.40 $1, 710. 50 FURNITURE SOFA 2013 May U. S. A. California $848. 10 $214. 50 FURNITURE SOFA 2013 Jun U. S. A. California U. S. A. California. $1,203.40 $1,933.80 $69. 30 FURNITURE SOFA 2013 Jul $674. 30 FURNITURE SOFA 2013 Aug U. S. A. California $1,981. 10 $1, 105. 50 FURNITURE SOFA 2013 Sep U. S. A. California $1,298.00 $306. 90 FURNITURE SOFA 2013 Oct U. S. A. California. $1,560.90 $13.20 FURNITURE SOFA 2013 Nov U. S. A. California $1,678.60 $525. 80 FURNITURE SOFA 2013 Dec U. S. A. California $272.00 $1,004. 00 FURNITURE BED 2012 Jan U. S. A. California $1,481.00 $1,734. 00 FURNITURE BED 2012 Feb U. S. A. California $63.00 $1,908. 00 FURNITURE BED 2012 Mar U. S. A. California $1,981.00 $1,032.00 FURNITURE BED 2012 Apr U. S. A. California $1,481.00 $520.00 FURNITURE BED 2012 May
Step by Step Solution
There are 3 Steps involved in it
Get step-by-step solutions from verified subject matter experts
