Question: # Initialize variables .data v0: .float 2500.0 g: .float 32.174 range: .float 0.0 theta: .float 0.0 time_of_flight: .float 0.0 max_height: .float 0.0 yards: .float 3.0
# Initialize variables
.data
v0: .float 2500.0
g: .float 32.174
range: .float 0.0
theta: .float 0.0
time_of_flight: .float 0.0
max_height: .float 0.0
yards: .float 3.0
deg: .float 180.0
cons: .float 2.0
cons2: .float 8.0
counter: .float 1.0
max_range: .float 42240.0
getrange: .asciiz "Enter range (in yards): "
tflight: .asciiz "Time of flight: "
hmax: .asciiz "Maximum height: "
angle: .asciiz "Angle trajectory: "
error: .asciiz "Error! Enter the range no more than 42240.0 yards "
newline: .asciiz " "
.text
main:
# Prompt user for range input
li $v0, 4
la $a0, getrange #range prompt
syscall
# Read user input for range
li $v0, 6
syscall
mov.s $f12, $f0 # store range in $f0 ($s0)
# Convert range from yards to feet
# lwc1 $f2, range #range in .data 1.0
lwc1 $f4, yards #yards conversion 3.0 in .data
mul.s $f2, $f0, $f4 #$f0 is the input multiply by 3.0($f4)
#valid input
#lwc1 $f11, max_range #f11 = 42240.0
#c.lt.s $f11, $f12 # if false check for next line $f12 = input, $f11 = 42240.0
#la $a0, newline
#li $v0, 4
#syscall
#la $a0, error #states error on display
#li $v0, 4
#syscall
#j main
# Calculate initial velocity
lwc1 $f0, v0
# Calculate time of flight and maximum height
jal sin_taylor # calculate angle using arcsin Taylor series
mov.s $f5, $f0 # store angle in $f5 ($s1)
lwc1 $f1, g #gravity 32.174
mul.s $f3, $f0, $f1 # calculate sin(theta) * g
lwc1 $f6, deg #load deg 180 in $f6 from .data
mul.s $f0, $f0, $f6 # convert angle to degrees
lwc1 $f7, cons #load constant float 2.0 from .data
mul.s $f1, $f1, $f7 # calculate 2 * g
mul.s $f2, $f2, $f5 # calculate v0 * sin(theta) *$s1 = $f5
div.s $f2, $f2, $f3 # calculate 2v0sin(theta)/g
swc1 $f2, time_of_flight # store time of flight
mul.s $f2, $f2, $f2 # calculate (2v0sin(theta)/g)^2
lwc1 $f8, cons2 #load 8.0 in float from .data in f8
div.s $f2, $f2, $f8 # calculate (2v0sin(theta)/g)^2 / 8
swc1 $f2, max_height # store maximum height
# Display results
#Angle trajectory
la $a0, angle
li $v0, 4
syscall
lwc1 $f12, theta
li $v0, 2
syscall
# print newline
li $v0, 4 # print string syscall
la $a0, newline
syscall
la $a0, tflight #time of flight message
li $v0, 4
syscall
lwc1 $f12, time_of_flight #final time of flight stored in time_of_flight
li $v0, 2
syscall
# print newline
li $v0, 4 # print string syscall
la $a0, newline
syscall
la $a0, hmax #print hmax initialization
li $v0, 4
syscall
lwc1 $f12, max_height #final maximum height stored in max_height
li $v0, 2
syscall
# Exit program
li $v0, 10
syscall
# Calculate arcsin using Taylor series
# $f0 - input
# $f1 - output
# $f9 - loop counter
sin_taylor:
#li $s0, 1 # set loop counter to 1
lwc1 $f9, counter #load 1.0 in floating to set loop counter to 1.
addi $sp, $sp, -8 # reserve space on stack for $f2 and $f3
swc1 $f1, 0($sp) # save $f1 on stack
swc1 $f0, 4($sp) # save $f0 on stack
lui $at, 0x3f80 # load 1.0 into $f2
mtc1 $zero, $f3 # initialize $f3 to 0.0
sin_taylor_loop:
div.s $f2, $f2, $f9 # calculate x^k / k!
mov.s $f10, $f9 # move loop counter to $t0 ($f10) for multiplication in floats *correct
mul.s $f3, $f3, $f0 # calculate (-1)^k * x^(2k+1)
mul.s $f3, $f3, $f2 # calculate (-1)^k * x^(2k+1) * x^k / k!
mul.s $f3, $f3, $f10 # calculate (-1)^k * x^(2k+1) * x^k / k! * k ----$f10 = $t0
addi $s0, $s0, 2 # increment loop counter by 2
ble $s0, 11, sin_taylor_loop # loop 6 times
# Final calculation for arcsin
addi $s0, $s0, -12 # subtract 12 from loop counter
mtc1 $zero, $f1 # initialize $f1 to 0.0
c.eq.s $f0, $f1 # check if input is 0
bc1f sin_taylor_end # if input is not 0, continue
lui $at, 0x3f80 # load 1.0 into $f1 #load upper immediate -- loads a register that is immediately available
mtc1 $at, $f1
b sin_taylor_end
sin_taylor_end:
addi $s0, $s0, -1 # decrement loop counter by 1
mul.s $f1, $f3, $f1 # calculate output
bgtz $s0, sin_taylor_end # loop until loop counter is 0
lwc1 $f0, 4($sp) # restore $f0 from stack
lwc1 $f1, 0($sp) # restore $f1 from stack
addi $sp, $sp, 8 # free space on stack
jr $ra
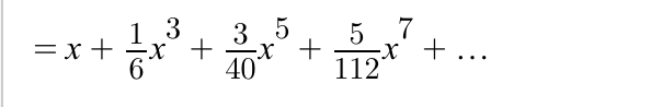
For the following code, use the following taylor series to find the arcsin and sin taylor series:
arcsin(x)= 

use the calculated angle to find the time of flight in seconds, maximum height in feet ; Please make sure that correct registers are used and everything works.
The assignment is to find the time of flight in seconds, maximum height in feet and angle trajectory in degrees from the input of range in yards while the maximum range is 42240 yards.
=x+61x3+403x5+1125x7+ sinx=x3!x3+5!x57!x7+9!x9
Step by Step Solution
There are 3 Steps involved in it
Get step-by-step solutions from verified subject matter experts
