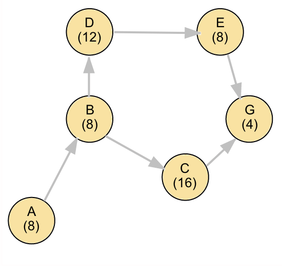
Question: Jane produces custom greeting cards using six distinct work elements. She would like to produce 12 cards in each 8-hour card-making session. The figure below
Jane produces custom greeting cards using six distinct work elements. She would like to produce 12 cards in each 8-hour card-making session. The figure below details each work element and its associated durations in minutes as well as their precedence relationships.

A)The cycle time required to satisfy the required output rate is [A] minutes/card. (Enter your response as an integer.)
B) what is the theoretical minimum number of workstations required? (Enter your response rounded up to the next whole number.) C)If Jane identifies a five-station solution, the associated efficiency is % and the balance delay is %? (Enter your responses as percentages rounded to one decimal place.)
Step by Step Solution
There are 3 Steps involved in it
Get step-by-step solutions from verified subject matter experts
