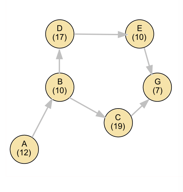
Question: Jane produces custom greeting cards using six distinct work elements. She would like to produce 10 cards in each 8-hour card-making session. Figure 1 details


Step by Step Solution
There are 3 Steps involved in it
1 Expert Approved Answer
Step: 1 Unlock
Question Has Been Solved by an Expert!
Get step-by-step solutions from verified subject matter experts
Step: 2 Unlock
Step: 3 Unlock
