Question: JAVA - Abstraction and Encapsulation are one pillar of OOP (Object Oriented Programming). Another is inheritance and polymorphism. In this assignment we will use inheritance

JAVA -

Abstraction and Encapsulation are one pillar of OOP (Object Oriented Programming). Another is inheritance and polymorphism. In this assignment we will use inheritance and polymorphism to solve a problem.

Part (a) of the figure below shows a symbolic representation of an electric circuit called an amplifier. The input to the amplifier is the voltage vi and the output is the voltage vo. The output of an amplifier is proportional to the input. The constant of proportionality is called the gain of the amplifier.

JAVA - Abstraction and Encapsulation are one pillar of OOP (Object Oriented

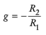
Parts (b), (c), and (d) show schematics of three specific types of amplifier: the inverting amplifier, non-inverting amplifier, and voltage divider amplifier. Each of these three amplifiers consists of two resistors and an op amp. The value of the gain of each amplifier depends on the values of its resistances. In particular, the gain, g, of the inverting amplifier is given by

Programming). Another is inheritance and polymorphism. In this assignment we will use

Similarly, the gains of the non-inverting amplifier and voltage divider amplifier are given by

inheritance and polymorphism to solve a problem. Part (a) of the figure

Write a Java program that represents the amplifier as a superclass and represents the inverting, non-inverting, and voltage divider amplifiers as subclasses. Give the subclass two methods, getGain and a getDescription method that returns a string identifying the amplifier. Each subclass should have a constructor with two arguments, the resistances of the amplifier.

The classes need to override the equals, hashcode, and toString method from class object.

The subclasses need to override the getGain and getDescription methods of the superclass. Create a class with a main

method that contains a generic data structure of type Amplifier. Iterate over the structure and display the gain, description,

and toString methods to show that the subclasses all work properly for sample values of the resistances.

Demonstrate that the equals method works for all subclasses.

Step by Step Solution

There are 3 Steps involved in it

1 Expert Approved Answer
Step: 1 Unlock blur-text-image
Question Has Been Solved by an Expert!

Get step-by-step solutions from verified subject matter experts

Step: 2 Unlock
Step: 3 Unlock

Students Have Also Explored These Related Databases Questions!