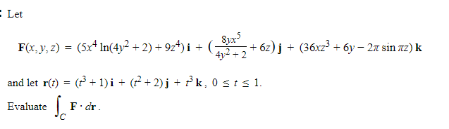
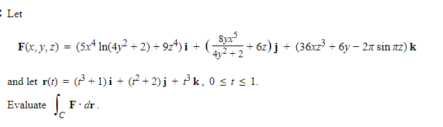
Question: Let 8vx- F(x, y, z) = (5x# In(4y- + 2) + 924)i + 412 + 2 ;+ 6z) j + (36xz) + 6y - 2n


Let 8vx- F(x, y, z) = (5x# In(4y- + 2) + 924)i + 412 + 2 ;+ 6z) j + (36xz) + 6y - 2n sin 1z) k and let r() = (#+Di+(/+2)jtek, Ost=1. Evaluate F . dr . C
Step by Step Solution
There are 3 Steps involved in it
1 Expert Approved Answer
Step: 1 Unlock
Question Has Been Solved by an Expert!
Get step-by-step solutions from verified subject matter experts
Step: 2 Unlock
Step: 3 Unlock
