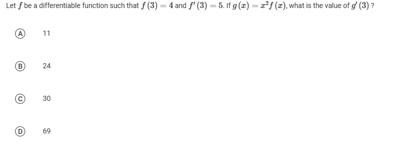
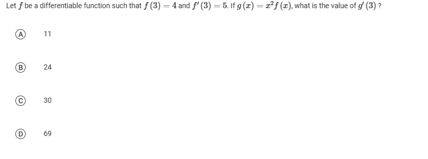
Question: Let f be a differentiable function such that f [3] = 4 and f' [3] = 5. If g [3:] = 32} [3], what is
![Let f be a differentiable function such that f [3] =](https://s3.amazonaws.com/si.experts.images/answers/2024/06/6664b8bf6115c_9276664b8bf4f00e.jpg)
![4 and f' [3] = 5. If g [3:] = 32} [3],](https://s3.amazonaws.com/si.experts.images/answers/2024/06/6664b8bfc0204_9276664b8bfafa00.jpg)
Let f be a differentiable function such that f [3] = 4 and f' [3] = 5. If g [3:] = 32} [3], what is the value of 9' {3] ? 30 69
Step by Step Solution
There are 3 Steps involved in it
Get step-by-step solutions from verified subject matter experts
