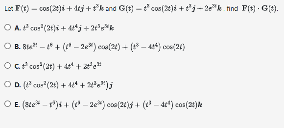
Question: Let F ( t ) = c o s ( 2 t ) i + 4 t j + t 3 k and G (
Let and find
Step by Step Solution
There are 3 Steps involved in it
1 Expert Approved Answer
Step: 1 Unlock
Question Has Been Solved by an Expert!
Get step-by-step solutions from verified subject matter experts
Step: 2 Unlock
Step: 3 Unlock
