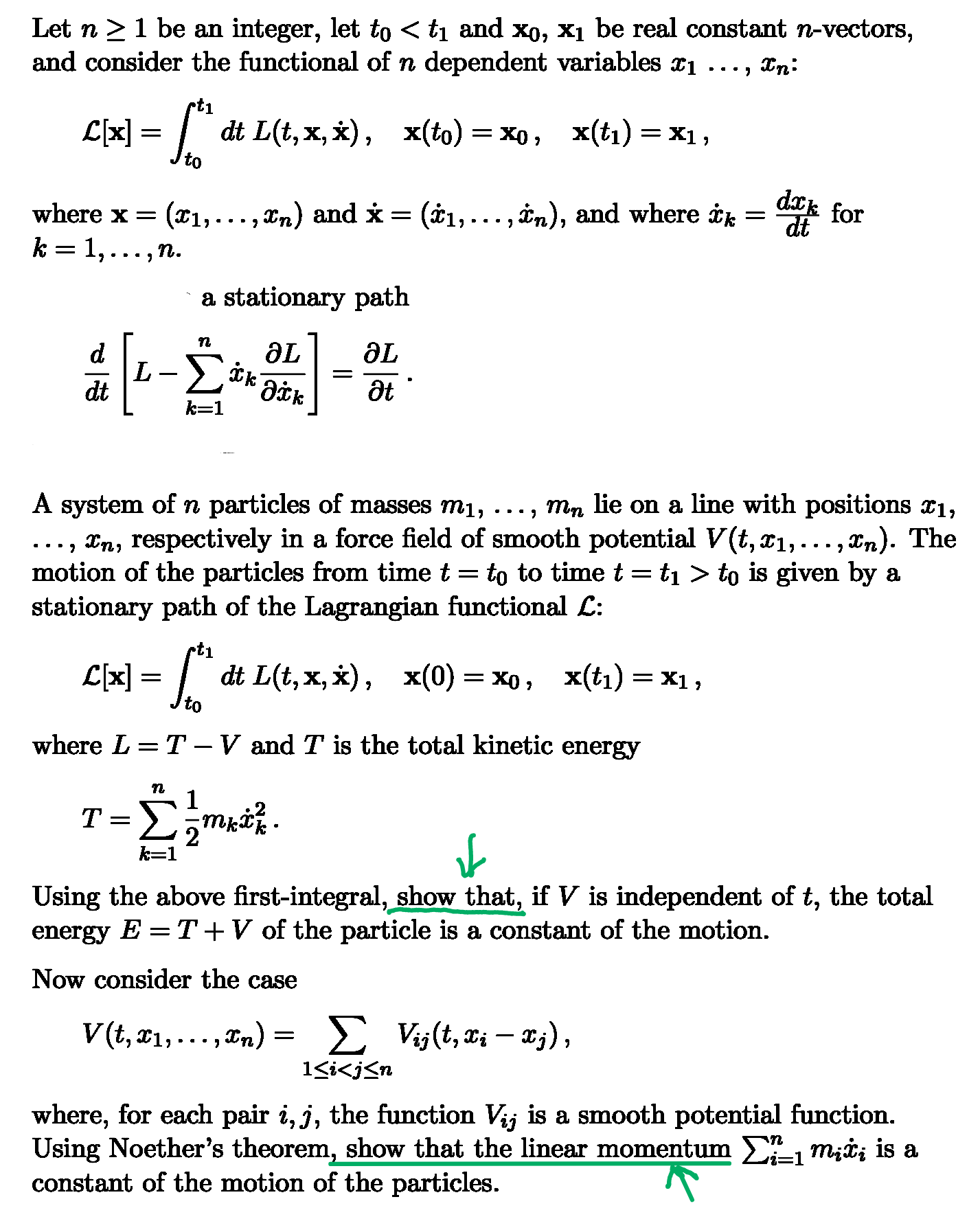
Question: Let n 2 1 be an integer, let to to is given by a stationary path of the Lagrangian functional C: C[x] = dt L(t,

![given by a stationary path of the Lagrangian functional C: C[x] =](https://s3.amazonaws.com/si.experts.images/answers/2024/06/667759319fc4a_649667759317c0fc.jpg)
Let n 2 1 be an integer, let to to is given by a stationary path of the Lagrangian functional C: C[x] = dt L(t, x, X) , x(0) = xo, x(t1) = x1 , to where L = T - V and T is the total kinetic energy n 1 T = > mkick K =1 Using the above first-integral, show that, if V is independent of t, the total energy E = T + V of the particle is a constant of the motion. Now consider the case V (t, x1, . .., In) = > Vij(t, "i - x;), 1gi
Step by Step Solution
There are 3 Steps involved in it
Get step-by-step solutions from verified subject matter experts
