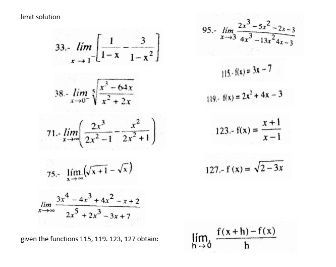
Question: limit solution 95.- lim 2x-5x - 2x - 3 33.- lim x-+3 4x -13x 4x - 3 1-x 1-X 2 115,. f(x) = 3x -

limit solution 95.- lim 2x-5x - 2x - 3 33.- lim x-+3 4x -13x 4x - 3 1-x 1-X 2 115,. f(x) = 3x - 7 38.- lim - 64x x* + 2x 119.. f(x) = 2x + 4x - 3 2.x3 x+1 71.- lim 2x- -1 2x2+ 1 123.- f(x) = x-1 75.- lim. (vx + 1 - Vx) 127.- f (x) = V2-3x lim 3x* - 4x +4x- - x+2 x-+00 2x3 +2x- 3x + 7 lim. f(x+h) -f(x) given the functions 115, 119. 123, 127 obtain: h -+ 0 h
Step by Step Solution
There are 3 Steps involved in it
Get step-by-step solutions from verified subject matter experts
