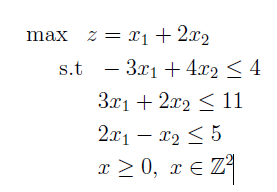
Question: Mathematical Optimization - Integer Programming First, solve the linear program with Simplex, then iteratively add constraints (cutting planes) and use graphs to find optimal solutions.
Mathematical Optimization - Integer Programming
First, solve the linear program with Simplex, then iteratively add constraints (cutting planes) and use graphs to find optimal solutions. Given below is the question
Using the Gomory Cutting Planes Algorithm, solve the integer program. You must use subproblems graphically. Make sure to demonstrate all the procedures.
Step by Step Solution
There are 3 Steps involved in it
Get step-by-step solutions from verified subject matter experts
