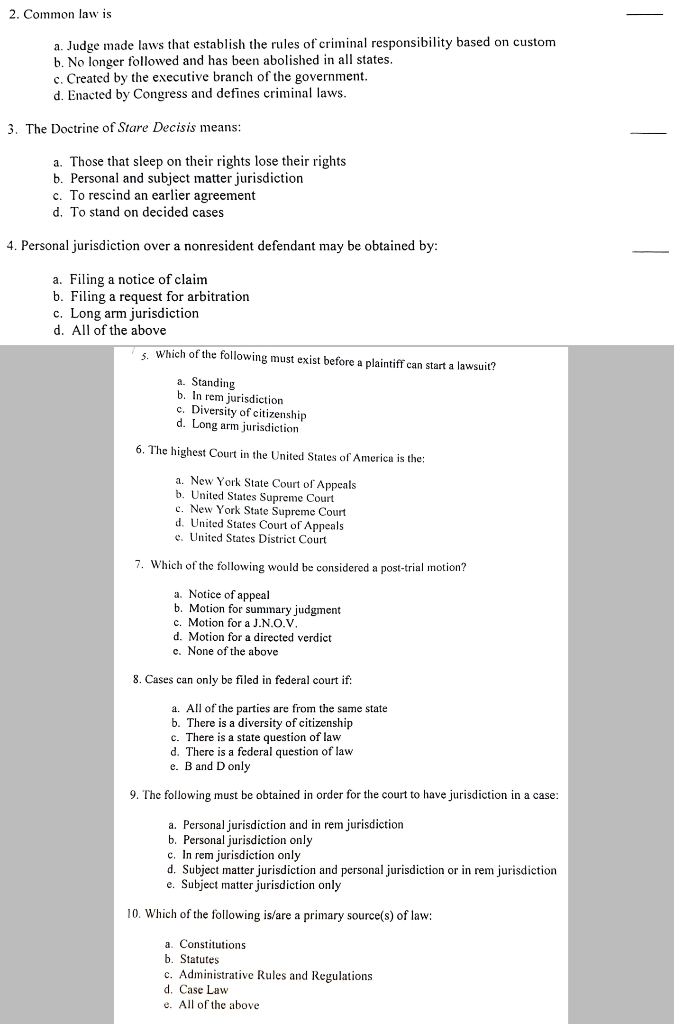
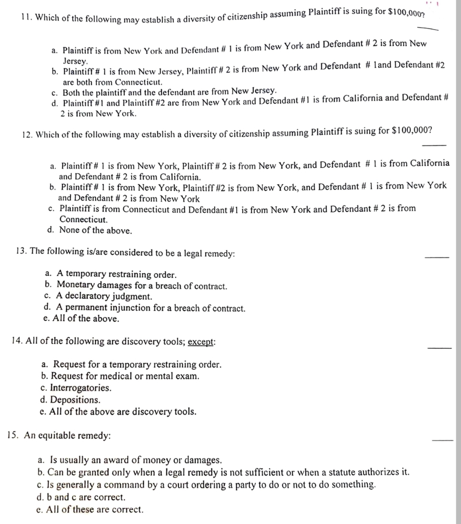
Question: Multiple Choice Question? 2. Common law is a. Judge made laws that establish the rules of criminal responsibility based on custom b. No longer followed
Multiple Choice Question?

Step by Step Solution
There are 3 Steps involved in it
1 Expert Approved Answer
Step: 1 Unlock
Question Has Been Solved by an Expert!
Get step-by-step solutions from verified subject matter experts
Step: 2 Unlock
Step: 3 Unlock
