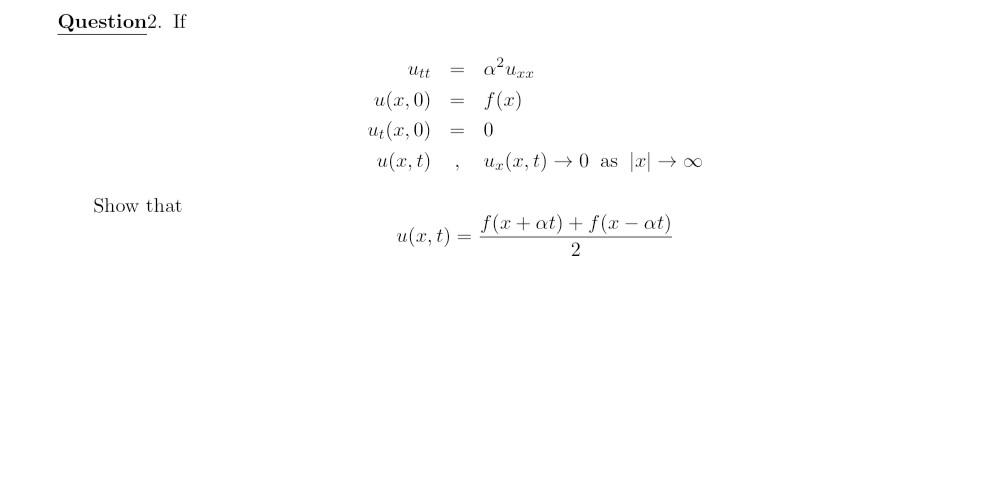
Question: Need help.... Quest ion2. If 2 it = '1' mm mm = M) ux) = 0 M33, t] , 'um($,t) > U 3.5 Ext >
Need help....

Quest ion2. If 2 \"it = '1' \"mm mm = M) ux) = 0 M33, t] , 'um($,t) > U 3.5 Ext > 00 Show that at + at) + x {It} u(x,t) = 2
Step by Step Solution
There are 3 Steps involved in it
Get step-by-step solutions from verified subject matter experts
