Question: Need this code Objectives 1) Leam basic input with scanf 2) Lean printf formatting 3) Leam basic computation using operators Description In this programming assignment
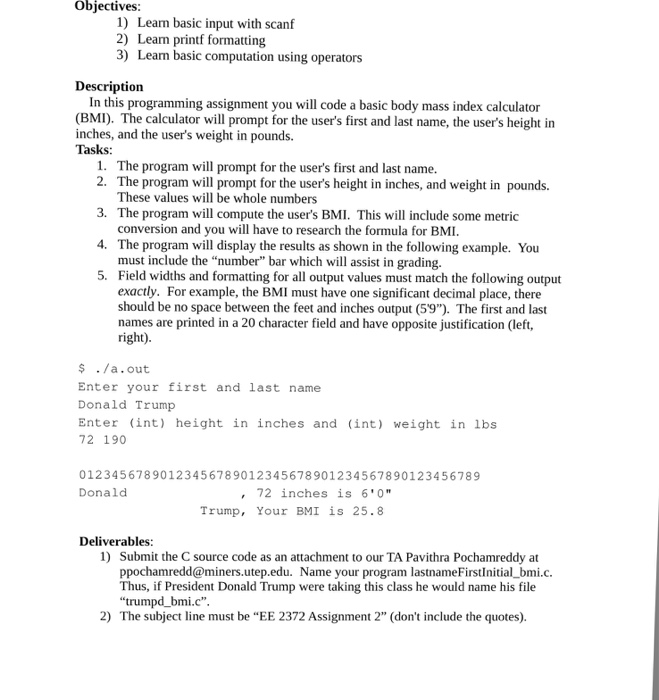
Need this code Objectives 1) Leam basic input with scanf 2) Lean printf formatting 3) Leam basic computation using operators Description In this programming assignment you will code a basic body mass index calculator (BMI). The calculator will prompt for the user's first and last name, the user's height in inches, and the user's weight in pounds. Tasks: The program will prompt for the user's first and last name 2 1. The program will prompt for the user's height in inches, and weight in pounds. These values will be whole numbers 3. The program will compute the users BMI. This will include some metric conversion and you will have to research the formula for BMI 4. The program will display the results as shown in the following example. You must include the "number" bar which will assist in grading. 5. Field widths and formatting for all output values must match the following output exactly. For example, the BMI must have one significant decimal place, there should be no space between the feet and inches output (59"). The first and last names are printed in a 20 character field and have opposite justification (left, right). $./a.out Enter your first and last name Donald Trump Enter (int) height in inches and (int) weight in lbs 72 190 01234567890123456789012345678901234567890123456789 Donald , 72 inches is 6'0 Trump, Your BMI is 25.8 Deliverables 1) Submit the C source code as an attachment to our TA Pavithra Pochamreddy at ppochamredd@miners.utep.edu. Name your program lastnameFirstlnitial bmi.c. Thus, if President Donald Trump were taking this class he would name his file trumpd _bmi.c" The subject line must be "EE 2372 Assignment 2" (don't include the quotes). 2)
Step by Step Solution
There are 3 Steps involved in it
Get step-by-step solutions from verified subject matter experts
