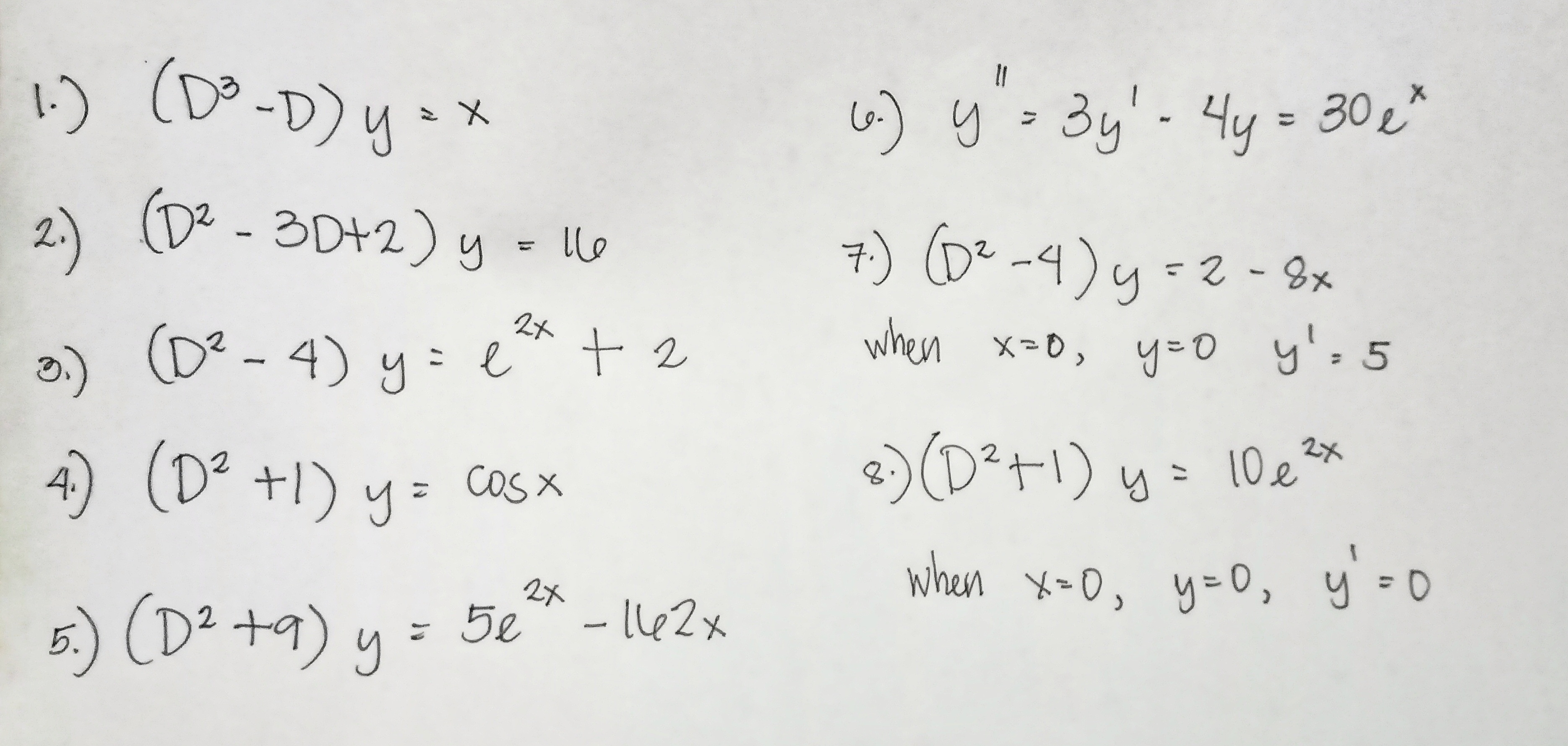
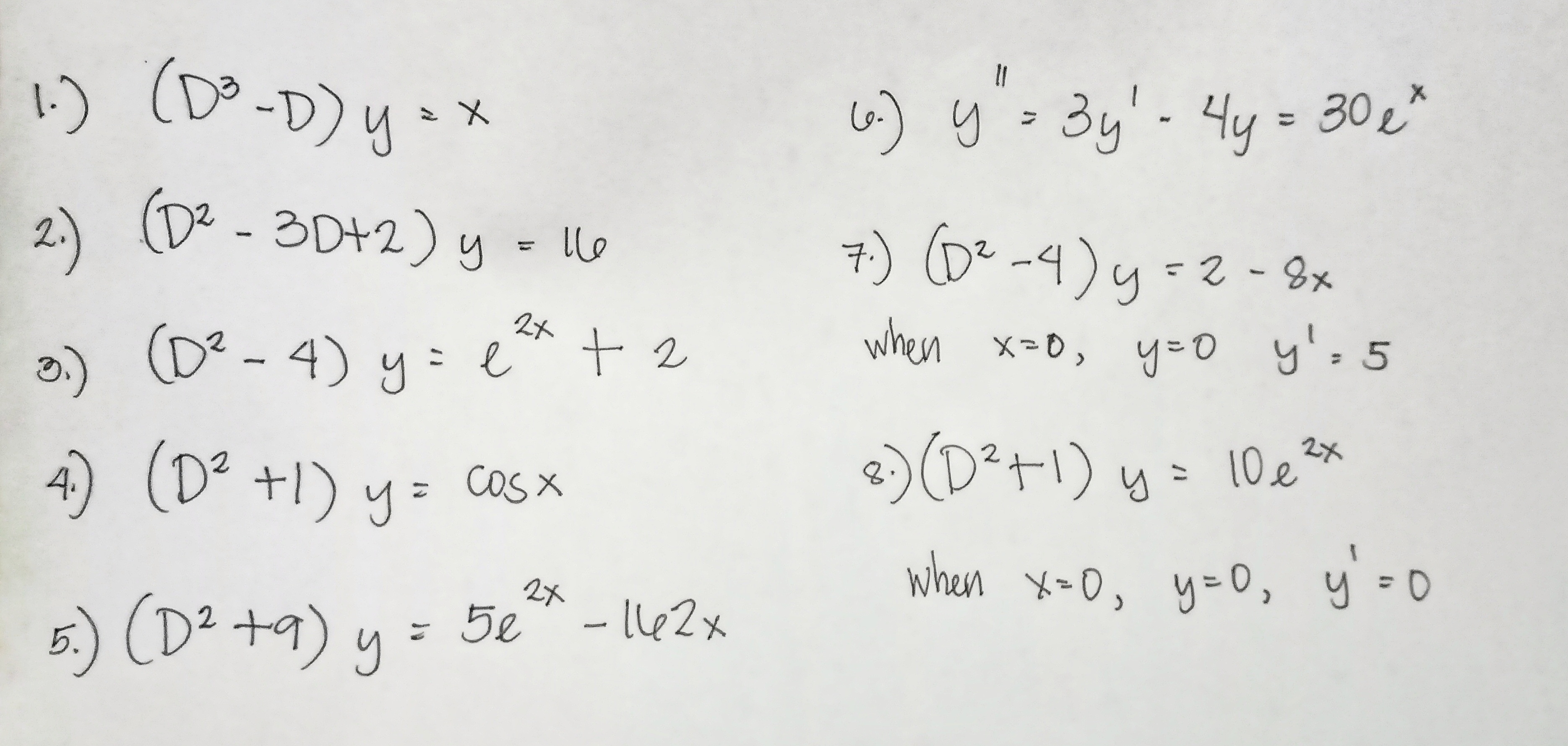
Question: Non Homogeneous Differential Equation Please answer in step by step. 1. ) ( D3 - D ) y = X (. ) y = 3y'-

Non Homogeneous Differential Equation
Please answer in step by step.

1. ) ( D3 - D ) y = X (. ) y = 3y'- 4y = 30e 2 . ) ( D 2 - 3 D + 2 ) y = 160 7 . ) ( D 2 - 4 ) y = 2 - 8x 3 . ) ( D 2 - 4 ) y = e + 2 when X= 0 , y= 0 y' : 5 4 ) ( D 2 + 1 ) y = cosx 8 . ) ( D 2 + 1 ) y = 10 e 3 x when * =0 , y= 0 , y = 0 5 . ) ( D 2 + 9 ) y = 52 - 142 x
Step by Step Solution
There are 3 Steps involved in it
Get step-by-step solutions from verified subject matter experts
