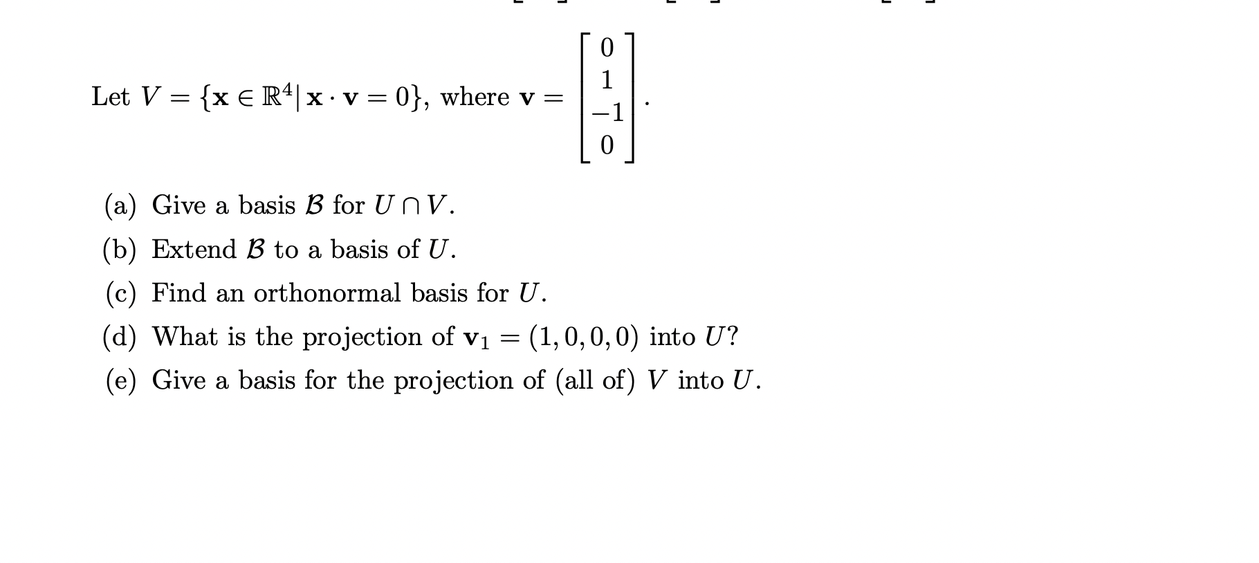
Question: O Let V = {x ( R4| x . v =0), where v = 1 -1 0 (a) Give a basis B for Un V.

O Let V = {x ( R4| x . v =0), where v = 1 -1 0 (a) Give a basis B for Un V. (b) Extend B to a basis of U. (c) Find an orthonormal basis for U. (d) What is the projection of v1 = (1, 0, 0, 0) into U? (e) Give a basis for the projection of (all of) V into U
Step by Step Solution
There are 3 Steps involved in it
Get step-by-step solutions from verified subject matter experts
