Question: ONLY USE MATLAB TO SOLVE!! Task C ONLY Task c : Write your differential equations in a matrix form. Develop a code named four_dof_matraix.m to
ONLY USE MATLAB TO SOLVE!! Task C ONLY

Task c: Write your differential equations in a matrix form. Develop a code named four_dof_matraix.m to find the natural frequencies of the building if the damping between different floors are ignored. Use the same data for the masses and stiffness in Task b. Follow the example of two_dof_matraix.m. Print the corresponding eigenvectors and natural circular frequencies of vibrations. Show the four modal shapes of vibration and associated natural frequencies of vibration.
PLEASE SOLVE USING MATLAB ONLY
_
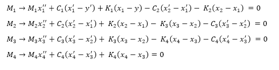
Find below the differential equations mentioned for part C.

Find below the data from part b mentioned for part C.

*PLEASE ONLY SOLVE TASK C*
The model and the parameters Figure 1 is a schematic of the four story shear building. Each floor is represented by its mass and the superstructure supporting each floor is idealized by a spring constant representing resistance to lateral motion and a damping coefficient providing frictional energy losses. External forces applied to each floor are ignored in this model, but the base (or the ground) may move during an earthquake. Hence, only four degrees of freedom are needed to describe total displacements of the structure, described as Figure 2 MA AN Base Figure A fou-story shear building excited by the base motion. k,kkk N4 0 Figure 2 A simplified four DOF model for a shear building
Step by Step Solution
There are 3 Steps involved in it
Get step-by-step solutions from verified subject matter experts
