Question: ONLY USE MATLAB TO SOLVE!! Task c : Write your differential equations in a matrix form. Develop a code named four_dof_matraix.m to find the natural

ONLY USE MATLAB TO SOLVE!!

ONLY USE MATLAB TO SOLVE!! Task c: Write your differential equations in

Task c: Write your differential equations in a matrix form. Develop a code named four_dof_matraix.m to find the natural frequencies of the building if the damping between different floors are ignored. Use the same data for the masses and stiffness in Task b. Follow the example of two_dof_matraix.m. Print the corresponding eigenvectors and natural circular frequencies of vibrations. Show the four modal shapes of vibration and associated natural frequencies of vibration.

PLEASE SOLVE USING MATLAB ONLY

_

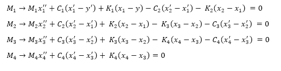
Find below the differential equations mentioned for part C.

a matrix form. Develop a code named four_dof_matraix.m to find the natural

Find below the data from part b mentioned for part C.

frequencies of the building if the damping between different floors are ignored.

*PLEASE ONLY SOLVE PART C*

The model and the parameters Figure 1 is a schematic of the four story shear building. Each floor is represented by its mass and the superstructure supporting each floor is idealized by a spring constant representing resistance to lateral motion and a damping coefficient providing frictional energy losses. External forces applied to each floor are ignored in this model, but the base (or the ground) may move during an earthquake. Hence, only four degrees of freedom are needed to describe total displacements of the structure, described as Figure 2 MA AN Base Figure A fou-story shear building excited by the base motion. k,kkk N4 0 Figure 2 A simplified four DOF model for a shear building

Step by Step Solution

There are 3 Steps involved in it

1 Expert Approved Answer
Step: 1 Unlock blur-text-image
Question Has Been Solved by an Expert!

Get step-by-step solutions from verified subject matter experts

Step: 2 Unlock
Step: 3 Unlock

Students Have Also Explored These Related Databases Questions!