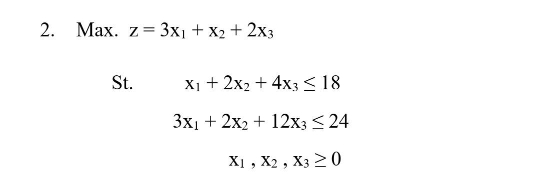
Question: operations research subject First: Use the Simplex method to solve the following Linear Programming Models 2. Max. z= 3X1 + X2 + 2x3 St. X1


operations research subject
First: Use the Simplex method to solve the following Linear Programming Models 2. Max. z= 3X1 + X2 + 2x3 St. X1 + 2x2 + 4x3 = 18 3X1 + 2x2 + 12x3 = 24 X1 , X2, X3 > 0Step by Step Solution
There are 3 Steps involved in it
1 Expert Approved Answer
Step: 1 Unlock
Question Has Been Solved by an Expert!
Get step-by-step solutions from verified subject matter experts
Step: 2 Unlock
Step: 3 Unlock
