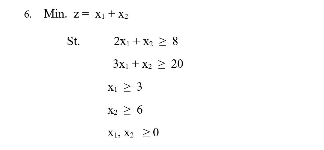
Question: operations research subject Second: Use the Big-M method to solve the following Linear Programming Models 6. Min. z= X1 + X2 St. 2x1 + x2


operations research subject
Second: Use the Big-M method to solve the following Linear Programming Models 6. Min. z= X1 + X2 St. 2x1 + x2 > 8 3x1 + x2 > 20 X1 2 3 X2 > 6 X1, X2 > 0Step by Step Solution
There are 3 Steps involved in it
1 Expert Approved Answer
Step: 1 Unlock
Question Has Been Solved by an Expert!
Get step-by-step solutions from verified subject matter experts
Step: 2 Unlock
Step: 3 Unlock
