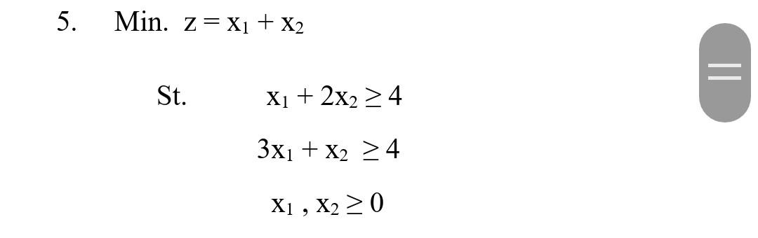
Question: operations research subject Second: Use the Big-M method to solve the following Linear Programming Models 5. Min. z= X1 + X2 = St. X1 +


operations research subject
Second: Use the Big-M method to solve the following Linear Programming Models 5. Min. z= X1 + X2 = St. X1 + 2x2 > 4 3X1 + x2 >4 X1 , X2 > 0Step by Step Solution
There are 3 Steps involved in it
1 Expert Approved Answer
Step: 1 Unlock
Question Has Been Solved by an Expert!
Get step-by-step solutions from verified subject matter experts
Step: 2 Unlock
Step: 3 Unlock
