Question: Players 1 and 2 are bargaining over how to split$10. Each player i names an amount, si , between 0 and10for herself. These numbers do
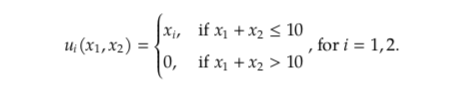
Players 1 and 2 are bargaining over how to split$10. Each playerinames an amount,si, between 0 and10for herself. These numbers do not have to be in whole dollar units. The choices are made simultaneously. Each player's payoff is equal to her own money payoff. Ifs1+s210, then the players get the amounts that they named, and the remainder, if any, is destroyed. Ifs1+s2>10, then both players get $1.
This situation could be formulated as a normal form game below:
(i) Two players: Player 1 and Player 2 (ii) Action sets: [0,10] for each player (iii) Utility functions:

Step by Step Solution
There are 3 Steps involved in it
Get step-by-step solutions from verified subject matter experts
