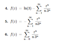
Question: Please answer all parts and explain your steps! a) Find a power series representation for the function (2) = In(3-2). 1. f() = In(3) +
Please answer all parts and explain your steps!
a)





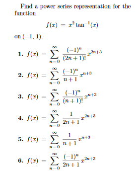
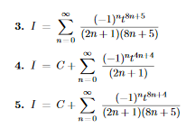
Find a power series representation for the function (2) = In(3-2). 1. f() = In(3) + 2. /(z) - In(3) 3. f(2) = In(3) +4. f(=) = In(3) - 5. f(=) = M 6. /(2)Find a power series representation for the function (x) - plan (x) on (-1, 1). 1. f(x) = (-1)" r. (2n + 1)! 2. f(x) = (-1)" 3. f(x) (-1)" (n + 1)! 1 4. f(x) = 2n13 2n + 1 5. ](0) = 6. (@) = (-1)" 2n |1Express the integral tan -1 (1) di as a power series. 1. I = 0+ (2n + 1)(8n + 5) 2. 1 = 0+ 8n + 5)3. 1 = (2n + 1)(8n + 5) = 0+ (2n + 1) 5. 1 = 0+ 2n+ 1)(8n + 5)
Step by Step Solution
There are 3 Steps involved in it
Get step-by-step solutions from verified subject matter experts
