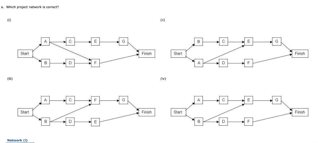
Question: Please answer from part D. Problem 9-09 (Algorithmic) At a local university, the Student Commission on Programming and Entertainment (SCOPE) is preparing to host its
Please answer from part D.





Step by Step Solution
There are 3 Steps involved in it
1 Expert Approved Answer
Step: 1 Unlock
Question Has Been Solved by an Expert!
Get step-by-step solutions from verified subject matter experts
Step: 2 Unlock
Step: 3 Unlock
