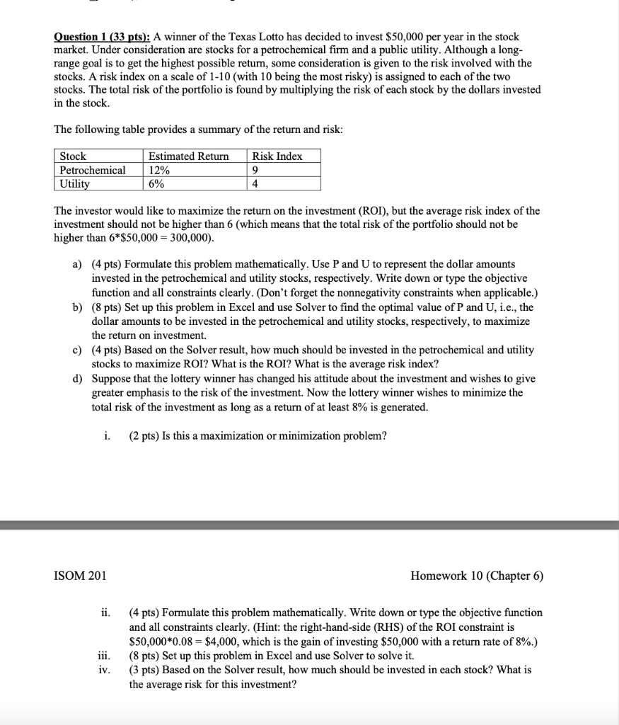
Question: Please answer in an excel document and show the formulas as well please!! Question 1 (33 pts): A winner of the Texas Lotto has decided
Please answer in an excel document and show the formulas as well please!!
Step by Step Solution
There are 3 Steps involved in it
1 Expert Approved Answer
Step: 1 Unlock
Question Has Been Solved by an Expert!
Get step-by-step solutions from verified subject matter experts
Step: 2 Unlock
Step: 3 Unlock
