Question: Please answer question number 12 as soon as possible due in 45 minutes. Thank you so much for your help! 12.) _____ I will attach
Please answer question number 12 as soon as possible due in 45 minutes. Thank you so much for your help!
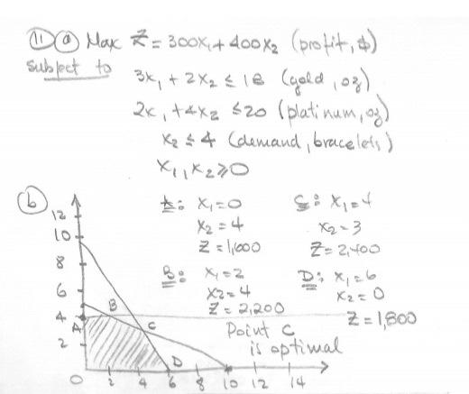
12. In Problem 11, explain the effect on the optimal solution of increasing the profit on a bracelet from $400 to $600. What will be the effect of changing the platinum requirement for a necklace from 2 ounces to 3 ounces? DO Mak =300X4400 X (prestit, ) subject to 3x + 2X2 16 (gold, og) 26, +4x2 520 (platinum, og X 2 & 4 (demand, bracelets) * X, So x, et 12 X2=4 Z=1,600 X = ? X-3 Z. 2400 DX- 6 X2=4 3 X2=0 c Z = 2,200 Z = 1,800 Pocut c is optimal o . A 14 
12.) _____
I will attach below answer to question 11 for reference

Step by Step Solution
There are 3 Steps involved in it
1 Expert Approved Answer
Step: 1 Unlock
Question Has Been Solved by an Expert!
Get step-by-step solutions from verified subject matter experts
Step: 2 Unlock
Step: 3 Unlock
