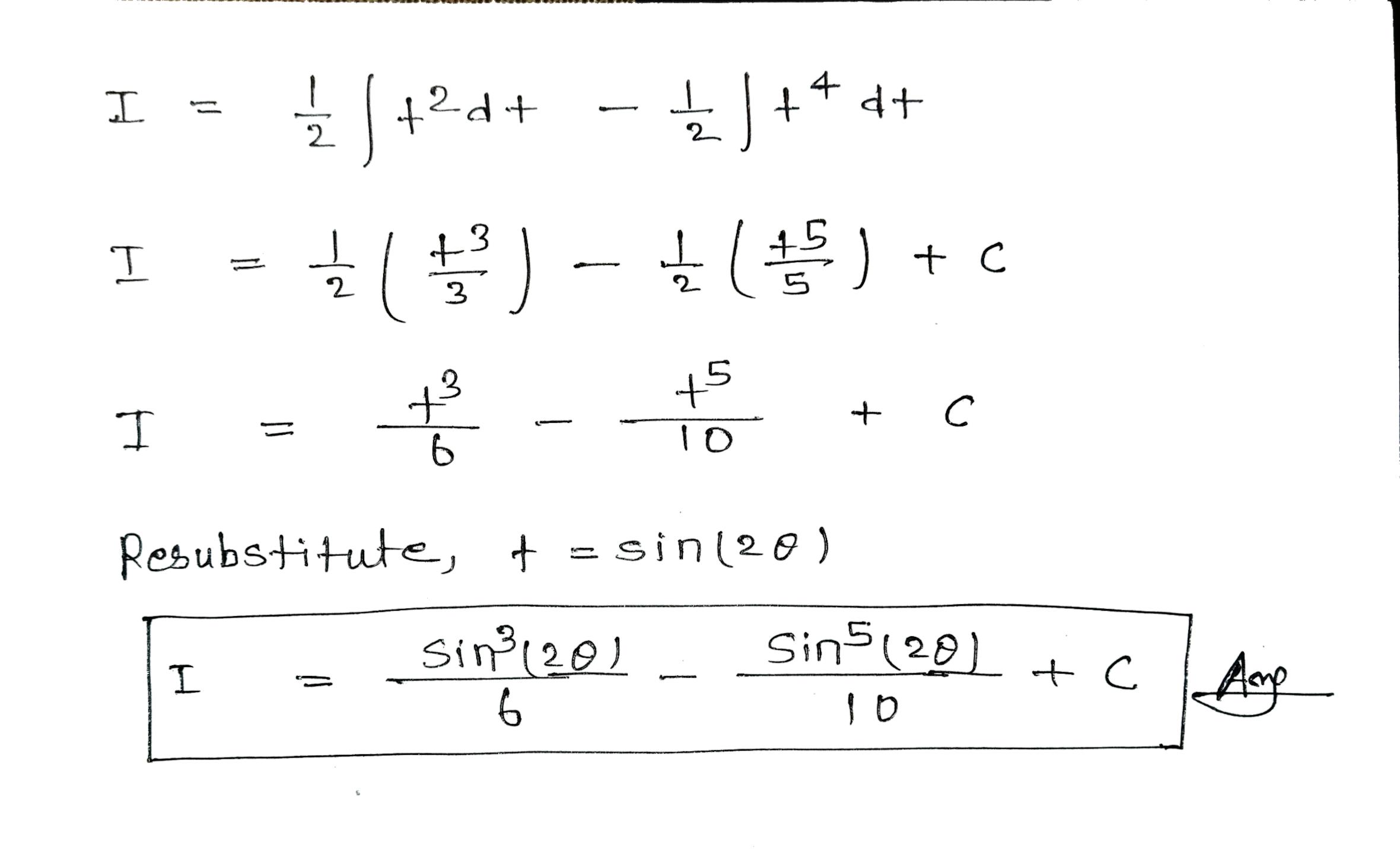
Question: Please briefly explain the solution and all steps, including substitution steps, triangles, and formulas used. Thank you! Sol 1 = sin?( 20] cos3(20) do 1

![triangles, and formulas used. Thank you! Sol 1 = sin?( 20] cos3(20)](https://s3.amazonaws.com/si.experts.images/answers/2024/06/667783ecb0109_588667783ec9bc4f.jpg)
Please briefly explain the solution and all steps, including substitution steps, triangles, and formulas used. Thank you!
![do 1 = sin 2 (20) . cos( 20 ] . cos2(](https://s3.amazonaws.com/si.experts.images/answers/2024/06/667783ed1d19e_588667783ece6803.jpg)


Sol 1 = sin?( 20] cos3(20) do 1 = sin 2 (20) . cos( 20 ] . cos2( 20 ) do 1 = cos (20) . sin ?(20) ( 1- sin2(20) ) do ( . . ' sin20 + cos2 0 = 1 = ) 60520 = 1- sin20) I = Cos ( 20 ) ( sin 2 ( 20 1 - sin + ( 20 ) ) do I = cos ( 20) sin (20) do - / cos(20) sint ( 20)do Substitute , Sin (20) = + 2 cos( 20 ) do = dt cos ( 20 ) do = d+/2
Step by Step Solution
There are 3 Steps involved in it
Get step-by-step solutions from verified subject matter experts
